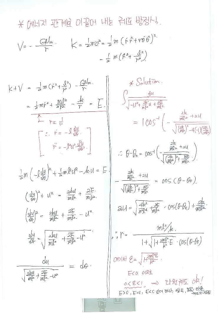
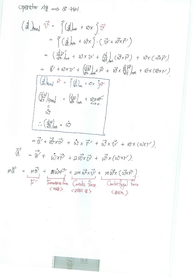
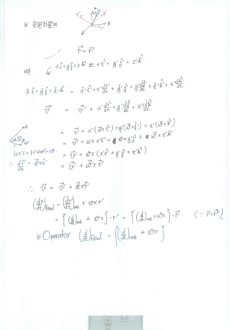
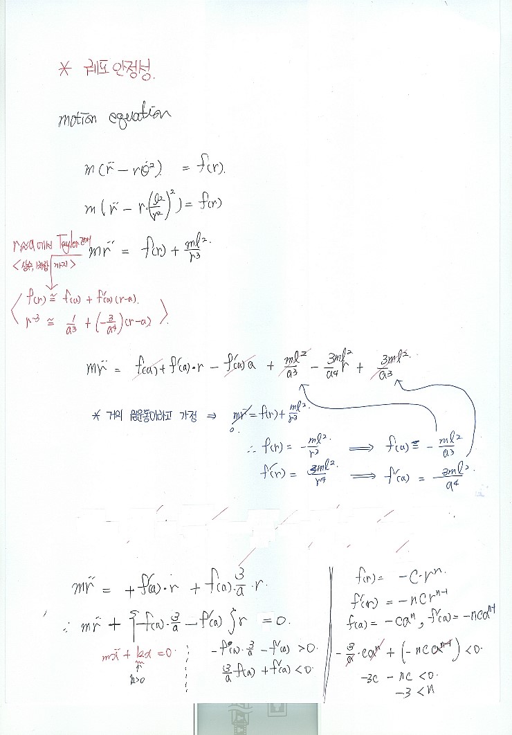
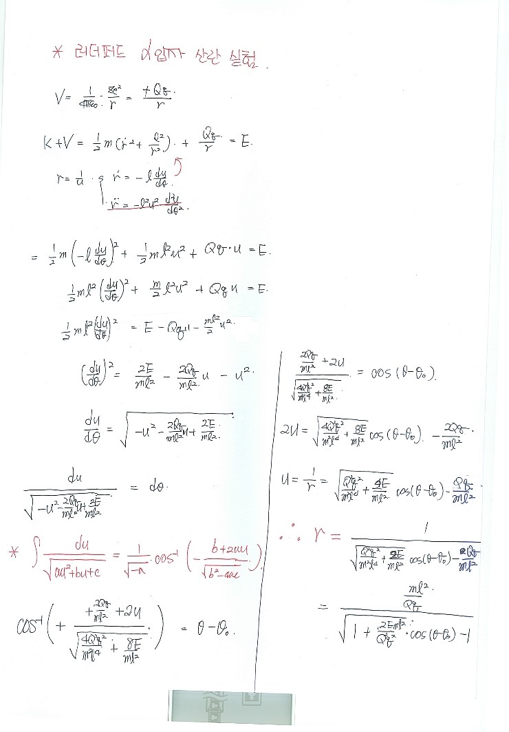
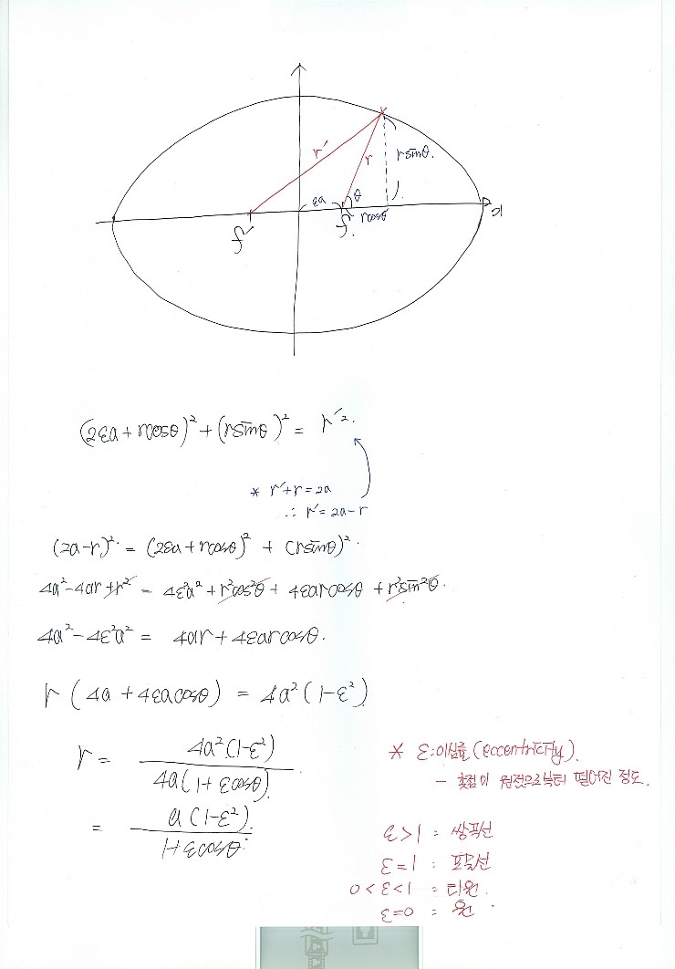
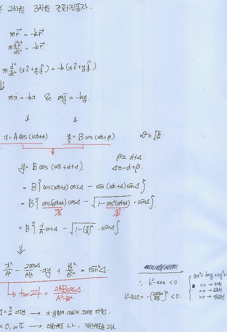
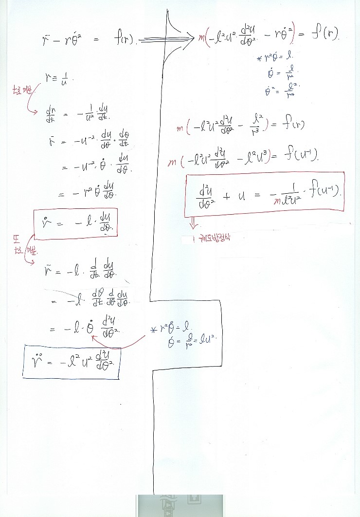
Physics Classical Mechanics I Studied #12Series Quick-Reference OverviewA handy visual quick-reference overview for the series, packed with everything you need at a glance.Jun 25, 2015 · 1 min read·gdparkOriginally written in Korean on my Naver blog (2015-06). Translated to English for gdpark.blog.Classical Mechanics I Studied← Previous #11 · Orbital StabilityNext → #13 · Center of Mass (CM)Show all 27 posts in this series#1 Vectors and Polar Coordinates#2 Work-Energy Theorem and Conservative Forces#3 Oscillations and Damped Harmonic Motion#4 Forced Harmonic Oscillation and Resonance#5 2D and 3D Isotropic Harmonic Oscillators and Lissajous Figures#6 Inertial and Non-Inertial Frames and the Galilean Transformation#7 Rotating Reference Frames: Coriolis, Transverse, and Centrifugal Forces#8 Kepler's Laws: Ellipse Law, Equal-Area Law, and Harmonic Law (Part 1)#9 Kepler's Laws: Ellipse Law, Equal-Area Law, and Harmonic Law (Part 2)#10 The Orbit Equation via Energy Methods#11 Orbital Stability#12 Series Quick-Reference Overview#13 Center of Mass (CM)#14 Momentum of a System of Particles#15 Angular Momentum of a System of Particles#16 Rigid Body Dynamics and the Center of Mass of a Rigid Body#17 Moment of Inertia: Perpendicular Axis Theorem and Parallel Axis Theorem#18 Radius of Gyration#19 Physical Pendulum and Center of Oscillation#20 Rigid Body in Planar Motion#21 Three-Dimensional Motion of a Rigid Body#22 The Inertia Tensor#23 Principal Axes of a Rigid Body#24 Euler's Equations of Motion for a Rigid Body#25 Euler Angles#26 Euler Angles (Part 2)#27 Angle ψ Between the Ellipse Axis and the x-Axis