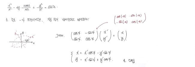
Angle ψ Between the Ellipse Axis and the x-Axis
Finally worked out the actual derivation for the angle ψ the ellipse's major axis makes with the x-axis — something my textbook just handed me without proof and I never questioned until now.
Back when I was a younger grad student —


— and we had an ellipse like this, I wrote something about the angle $\psi$ that the major axis makes with the $x$-axis;;;;;
The classical mechanics textbook

just wrote it down like that, and — plot twist — I only realized I had never actually properly derived it back then while I was translating that old post into English. T_T T_T T_T T_T
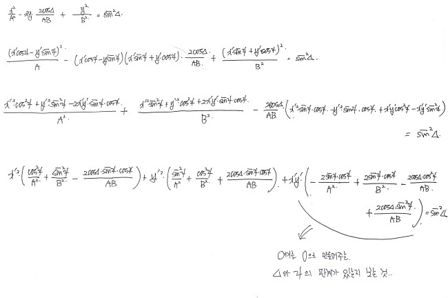
Anyway. I got it today.
The reason I’m going out of my way to make this its own post: a lot of people ask about this exact thing, and when you search for it, posts that actually do the derivation don’t really come up. So, here we go.
To be honest, I don’t think what I cooked up is the standard approach. There’s almost certainly a cleaner way. But whatever — I proved it. ;_;
Oh boy…



Originally written in Korean on my Naver blog (2017-11). Translated to English for gdpark.blog.