Introduction to the Differential Equations Special Series
A casual dive into first- and second-order linear differential equations, kicking things off with the integrating factor method — because this stuff shows up *everywhere* in nature!!

OK so today I wanna do a post about “(linear) differential equations” — the thing every STEM undergrad in college runs into an absurd number of times.
(Why am I doing this??? lol I forgot. Whatever, let’s go — I’ll study while I write.)
Before we dive in — back in middle and high school, you spent a lot of time solving systems of equations, right?
What did “solving an equation” mean back then?
It meant: find the $x, y$ that make the equation true. Yeah?
Then what is a differential equation?????
I think you can put it really simply: it’s finding the function that makes the equation true.
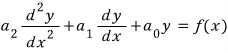
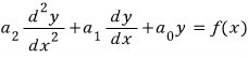
So the goal of this post is — among linear differential equations, the one that shows up an insane amount in nature!!
The simplest form of it,
“Second-order linear differential equation”

The goal is to crush and solve differential equations of this shape!! ($y$ and $f(x)$ are both functions of $x$, the coefficients are constants.)
It’s a tiny tiny slice of the giant zoo of differential equations, but apparently it’s important because this exact form shows up everywhere in nature?!?!
<I’m studying out of Boas’s Mathematical Physics, so the mathematical rigor might be… lacking ;; sorry. This is more of a methods-style discussion.. so ;;>
Now that we know where we’re going, let’s walk there step by step, starting with the easy stuff.
We’ll do the first-order linear differential equation before the second-order one.

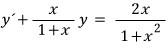
When we run into a 1st-order linear DE that looks like this!! ($P, Q$ are both functions of $x$.)
How do we crush and solve this?!?!
Let’s smash it with the integrating factor method!!
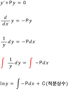
First,

We’ll grab a clue by finding the solution to this simpler thing.


I just lumped some constant together and called it $A$.
OK something is happening here where I’m just integrating mindlessly like an integration machine —

We’ve gotten this far.
Now what is this thing??
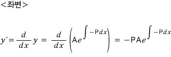
The original equation was

If we apply what we just found to the left-hand side of this,


Boom — we found the function of $x$ that makes the LHS equal the RHS!!
That $y$ is

But wait — the solution we actually want,

we need $y$ that satisfies this equation,,,,, ;; ;; ;_; what the heck what the heck what the heck!! T_T
OK let’s try multiplying both sides by the integrating factor $e^I$!?!?!


So,

And now,

Even when a junk-looking equation like that stares us in the face, we are not even slightly scared anymore!!
OK, onward.
Our destination is the second-order linear DE — so why did we bother with the first-order one…………
The reason is: handling the 2nd-order one, we get to recycle the stuff above wholesale heh heh heh

Our goal!! Let’s write it down one more time?!?
Ah, one thing to notice — in the first-order DE we just did, the coefficients were functions of $x$.
In the second-order DE, the coefficients are constants.
It’s not that you can’t solve it when the coefficients aren’t constants — apparently there’s a whole bag of case-by-case techniques. Laplace transforms, Bernoulli’s method, that kind of thing???? Anyway, the variable-coefficient case — we’re setting that aside.

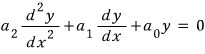
To work toward solving this, just like with the 1st-order, let’s start with the case where the right-hand side is 0 ^^



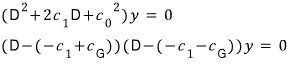
Let’s drag in the quadratic formula, the same way we factored stuff back in middle school.

Ugh… what do I name the subscript ;; ;; ;; ;; ;_; I’ll just go with G — as in the G in GD park’s G…..

$D$ is an operator, so the way you have to read this is~~~

Let’s try the first one.


Making this jump — y’all aren’t, like, shocked or anything right?!?~~~!?!
In case you’re like “bro he’s just integrating mindlessly like an integration machine again,,,” let me walk through it one more time.
The $y_1$ and $y_2$ that just appeared — what are they?

They were $y$’s that satisfy this equation. And two of them popped out!!
So if you plug $y_1$ into that equation, the equation holds —

and if you plug in $y_2$, the equation also holds.

Now here, if you’ve started to feel what “linear” actually means —
because it’s linear, the linear combination of those two solutions is also a solution!!
Why do we keep saying linear linear linear linear /// I’m gonna throw up from all this linear linear —
the reason it’s called linear is, <for more detail, look forward to the linear algebra I studied in the summer of 2015 ♡> → it’s out: http://gdpresent.blog.me/220593093163

Prologue: Announcing the Beginning [ Linear Algebra I Studied #0 ]
These were posts I made during winter break of late 2014 ~ early 2015, prepping for the ‘quantum mechanics’ I’d start learning in 2015…
gdpresent.blog.me

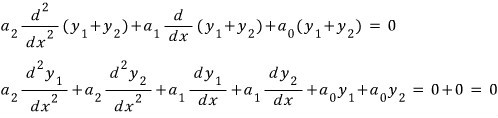
If you plug $(y_1 + y_2)$ in for $y$ here, .,,,,,, it’s a solution!
Huh????
Wanna try plugging it in?!

(💡 lightbulb!!)
Ahhh I see~~ so ‘$y_1 + y_2$’ is also a solution?!?!
Rather than saying “the solution is $y_1$” or “the solution is $y_2$,”
when we wanna talk in the most general terms,
we lump them together and say “the solution is $y_1 + y_2$.”
That’s the more comprehensive way to put it ~~~~~~ oh ho ho ho hong
So this solution is, apparently, called the General Solution ^^^
NOW do you see why it’s nauseating to keep saying linear linear linear like a broken record?!?!
So the general solution of what we just did above is~~

There’s one more thing to think about..!!
Which is —

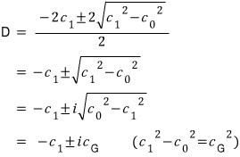
Earlier I just kinda casually assumed the inside of the square root is positive ~~ and waltzed on past ;; ;;
We also have to think about when it’s not positive..
It’ll be simple, right??

So the general solution $y_1 + y_2$ is

Shall we think about one more case? By now I bet you can guess what case~~ What if the inside of the square root is exactly 0?!?!

Easy.


OK, summarizing in one sentence one more time!!
Solving a linear 2nd-order equation with constant coefficients and zero on the right-hand side —
introduce the operator $D$ and do the (equivalent of) factoring,

Boom — we can now solve the RHS-equals-0 case of linear 2nd-order DEs ~~~~~~~~~
We’re almost at the goal!!
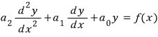
Finally,

We’re gonna find the $y$ that satisfies this.
A few things to lay down first. T_T T_T
Honestly, you can’t solve this for an arbitrary $f(x)$… ;; ;;
It’s a pretty limited case — but what if that limited situation happens to show up a lot in nature?
Then its significance isn’t small at all, right~?~?
I think it’ll be useful!!
So let’s go.
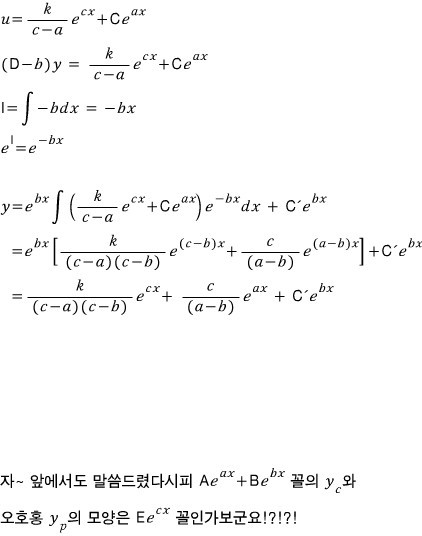
When $f(x)$ is related to an exponential, we can find it suuuuper easily ~~!!
So we’ll put $f(x) = k e^{cx}$ on the right-hand side.
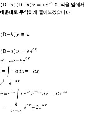
Then introduce operator $D$, same principle as before —
we’ll start the discussion from here:

We already covered how to find $Y_c$ earlier, so let’s go on a quest to find $Y_p$.
ggggggggggggggggggggg
How does one find the particular solution???


Lemme think about this juuust a tiny bit more simply~!! Brute forcing? Nope nope nope nope!!


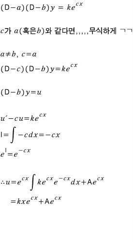
Here again we have to split into cases………………… ;; ;; ;; ;; ;_;
This post is getting way too long, so I’ll show just one more case and then
wrap it up?? That cool!?~
It’s already plenty long and I’m scared it’s gonna get longer ;; ;; ;; ;; ;_;
Sob sob, sorry for blowing this up like this over content that’s not even that big a deal T_T T_T ;_;


If you brute force through all of them you can pin down the form of $Y_p$ for each case!!!!!
Fun, right?!?!

Rather than calling it a proof — since we showed that the form of $Y_p$ comes out like that, from here on
we just say “the form of $Y_p$ is that!!” then determine the constant $C$,
and we walk our way to the general solution!!
One more thing to add,

And that’s the method of solving 2nd-order linear differential equations, up to here.
I’ll upload worked-out practice problems when I’m bored.
The spring problem — extremely important in physics —
and stuff like the RLC circuit in circuit theory — it’s so satisfying when you can swoosh~ through and crush them with the 2nd-order DE method above ???~
Everybody, be happy ~
Originally written in Korean on my Naver blog (2015-04). Translated to English for gdpark.blog.
Comments
Discussion happens via GitHub Discussions. You'll need a GitHub account to comment.