Gauss's Law
A super easy breakdown of Gauss's law using a soy-sauce-flinging analogy — because electric field lines and flux really don't have to be scary, okay?!
Do they teach Gauss’s law in high school? I don’t really rememberrr.. haha

Are there people reading this right now because they searched for Gauss’s law out of curiosity?
First, let me explain the basic concept? of Gauss’s law in a supeeeer easy way

Say some crazy person is holding soy sauce and spinning like hell lol
(※this is an assumption※) So let’s say the soy sauce being scattered shoots out in straight lines infinitely.
Okay! If a crowd packs in tight around that crazy person at a radius of 5m, what happens?
The clothes of all those people standing around will get soy sauce on them, right?
Then what about when the crowd packs in tight at a radius of 50m?????
People will still get soy sauce on them, right????
What about when the crowd is packed in tight at a radius of 100m???
What about when the crowd is packed in tight at a radius of 1000m??? k
What about when the crowd is packed in tight at a radius of 103420m???
What about when the crowd is packed in tight at a radius of 1394830980340m???
In every case, because they’re all packed in tight, no soy sauce leaks out.
Now now now now now do you get it nowww???
If you think of the soy sauce as electric field lines lol, done, you understand Gauss’s law!
This is the basic concept of Gauss’s law.

Even an elementary schooler could understand this, right? hahaha
Okay now let’s drop the soy sauce analogy,
and think in terms of ’the strength of the electric field.‘
Of course, since the electric field is a vector, we could express the field’s strength by drawing the vector’s length as looong or short — using the magnitude of the vector, right?
But it’s hard to draw the electric field like that at every single point in space, isn’t it?
So so, we introduced the concept of ’electric field lines.’
Where the electric field is strong, we decided to draw lots of field lines passing through some unit area or volume,
and where the electric field is weak, we decided to draw fewer field lines passing through. Like this.
Why go to the trouble?!?
Of course, because it’s more convenient!!
Let me give it a try.
So the flux of E passing through some surface S is

Writing it to look all fancy while actually being jack-shit mathematically,

(It means we added up alllll the individual E’s at each tiny area da)
Now let’s step things up one more dimension.

When there’s a point charge q inside a sphere like this,
Want to find the flux passing through the surface of the sphere???
(Remember I used the analogy of the crowd packed in tight??? Those crowds are exactly those ‘areas’!!!)
(Now you see why I made that analogy earlier, don’t you?!?!)
There will be individual electric fields passing through the sphere’s surface like this.
To that electric field, we multiply

and we’ll add allll of those up.
(Wait!!!!, on each of those surfaces,

,

,

, ….,

their directions will all be different, but their magnitudes will all be the same!!!
Everyone agrees, right!?!?!!!! The reason is that they’re all the same distance away from the point charge.)
And one more thing,

the reason I put a ^ hat on it is to indicate that the magnitude is ‘1’.
This is called a unit vector, so actually, what I called a tiny area above is more rigorously a ‘unit area.’
“But GD park, you jerk. Why aren’t you being rigorous?!?!?!"
The reason is that if I keep using words like that, the writing will get heavy like a textbook,
so I’m trying to write as lightly as possible.. Cut me some slack^^ hehehe I’ll describe things as easily as possible without losing rigor.
Now

we need to compute this integral,
Wait, just take a look at this one thing
Please note that ‘inside the integral, the directions of E and da are always the same, so it can be calculated like a scalar’!!!!
(You can also just think of it as the direction vector r-hat of E dotted with the direction vector da-hat of da equals 1~)

If you just smash through the integral, it comes out like this!!!
You can also unpack it more easily like this…(it’s the same process as above, so you can jump ahead.)

And that’s how we found the Flux!!!!
The concept we used while finding the Flux just now is exactly Gauss’s law.!!
( ‘soy sauce = electric field lines’, I’m mentioning it once more to maintain logical consistency.)
So that surface above is called the “Gaussian surface.”
Ah shoot, wait!!! What’s a Gaussian surface!!
Let me add a bit more explanation here.
To compute the Fluxes coming out from some point charge, we grabbed some ‘spherical surface.’
Who grabbed it??? We grabbed it. Nobody grabbed it for us, right???
Yes, that’s right. The Gaussian surface isn’t something with a fixed way of being grabbed; you grab it however suits you.
In some situations it’s better to grab the Gaussian surface like this,
in some situations it’s better to grab it like that,
and in some situations it’s better not to grab a Gaussian surface at all,
I want to say that the Gaussian surface is whatever you make of it.
And now that we’ve set up the Gaussian surface like this
and found the Flux,
what’s the point of finding the Flux….
Actually, from here on, what we calculate using Gauss’s law
is not the Flux. Specifically, we use Gauss’s law to find the magnitude and direction of the electric field.
But in finding the magnitude and direction of that electric field, it’s often easier to calculate via the Flux,
and when objects or charges are symmetrical(?), harmonious(?)
ah screw it, I’ll just say it in English, when the object is Symmetric, or when the distribution of charges is Symmetric, it’s convenient to use Gauss’s law.
(In other words, if it’s not a situation like the above, it’s really hard to calculate with Gauss’s law.
But the good new is… at the undergraduate level, most of the situations we consider are sih-metric.)
Now let’s take one more step forward.
More generally, instead of saying there’s q inside the Gaussian surface, if we set it up as ‘q’s’,
instead of just q, I’ll use Q with a subscript ‘in’.

Like this.
In case you’ve forgotten, ‘for reference’
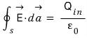
The conclusion when considering a point charge without considering a charge distribution was

this.
What Qin means is the sum of all the charges “inside” the Gaussian surface,

this is the integral form of Gauss’s law.
You need to understand the above equation well.
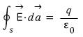
If you take the electric field passing through the Gaussian surface we wrapped, dot it with the tiny area vector,
and add allll those values up, always, forever, Always the sum is

this.
So what this means is,

when there’s a charge distribution like this,

whether you grab the Gaussian surface (a closed surface, of course)
in red
in blue
or in black
at each tiny area,

even if you don’t know these individual values exactly.
If you take the electric field passing through the Gaussian surface we wrapped, dot it with the tiny area vector,
and add allll those values up, always, forever, Always
the sum

is

.
If we manipulate this equation just a liiittle bit using the divergence theorem (this kind of manipulation keeeeps happening, you kinda need to get used to ittt hehe)

The conclusion at the very bottom

this is
the differential form of Gauss’s law!! A truly important equation!!
It’s also the first equation of Maxwell’s Equations
(The reason I pulled this whole bullsh*t of changing the integration region via the divergence theorem was to show the differential form~~~)
If you think of the integral form as ‘on a huge Sphere ~ ‘,
you can think of the differential form as ‘on a very small, localized tiny volume ~ ‘.
In other words, I want to say that you can think of it as a change of perspective.
———————————————————————–
Since a question came in, I’ll make some edits and add a little bit more.

These two situations are clearly different situations.
Yes yes yes yes, but,
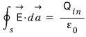
according to the result of Gauss’s theorem above, the left figure has

simply Zero, and the right has

where the sum of the charges inside is Zero.
So when, through Gauss’s theorem, we say ’the divergence of E is 0~’ (or ’the integral is 0~’), what we’re saying is 0 is —
For the left: 0+0+0+0+0+0+0+0+0+0+0+0+0+0+ ··············· = 0
For the right: something + something else + something + something else + something + something else + something + something else + something + something else + ····· = 0
That’s what it is.
That is, what we’re saying is that the electric fields over the Gaussian surface we grabbed, shwoooooosh all added up, is 0,
but the process by which it becomes 0 is somewhat different in each case, right?? hehe
If this is your first time encountering electromagnetism, I think it would be strange to understand it all at once. (At least for a very ordinary person like me^^;;;)
It’s okay if you don’t understand it right away~~~~ As you solve problems later,
you’ll come to realize ‘Ahh, in this kind of situation, if I grab the Gaussian surface like this and count the electric fields like this, the counting is easy!!!!’ ^^
Happy studying!
Originally written in Korean on my Naver blog (2014-11). Translated to English for gdpark.blog.