Electric Potential
We dig into electric potential — why curl = 0 lets you define a scalar potential, how E = -∇V falls out of that, and a sneak peek at Poisson's equation~
This time let’s look at electric potential~
When I hear “electric potential,” voltage comes to mind first, and then 220V is the very first thing I think of;;;
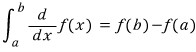
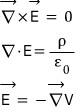
First off, the electric field E has curl 0~ When the curl is zero, the integral doesn’t depend on the path.
(I’ll explain in a posting dedicated to curl hehe it’ll be fun)
A force whose curl is 0 is called conservative, and for a conservative force you can define a scalar potential!!!!
(You’ve heard this a lot, right? There’s nothing for it but to sit down and think~ it over caaarefully….lol before doing that, I didn’t really know what this phrase meant either)
What is a “scalar potential”…? It means you can define the potential as a scalar depending on position~
Because it doesn’t depend on the path~
The reason I explained it this way is

because I wanted to use this equation..T_T this is, well,

something you can understand in the same vein, right?
But what is voltage? It’s energy, right. What is energy?
You know the work-energy theorem, energy and work are the same.
In a place where there’s an electric field, work is done against the electric force, right??? hoho
That is,

You’ve heard the meaning of the (-) sign till your ears fell off…. it’s the unbending will to set the potential to 0 somewhere far away.
Anyway, we’ve got another important equation. E is minus gradient V !!
«««««<Wait a moment here!»»»»»»
The equations we’ve derived so far are important so let me write them down once more!!!!

If you mash the second and third equations together

This is Poisson’s equation that we learn in the next chapter, but I just wrote it down once to show that the content has been coming out from the earlier parts~
Anyway, the potential at position r due to charge q is the ’energy’ it takes to drag it from infinity to r away from charge q.
You agree, right?

This is when there’s a single charge~
What if there are n charges q????????????
It can be expressed as the sum of potentials due to each qn. (superposition principle)

And if the charge distribution is continuous????????
The sigma will just turn into an integral hehehe
Originally written in Korean on my Naver blog (2014-11). Translated to English for gdpark.blog.