Electric Potential (Part 2)
We drag charges into empty space one by one, tally up all the work it takes, and land on a slick double-sum formula for total potential energy!
This time, I’m going to bring charges one by one, from q1 all the way to qn, into a spaaaa~~~~ce that has absolutely nothing in it.
I’ll count up the energy it takes to move them!
You ask why?????????? Why bother??????????
As you’ll see when we do the calculation, work and energy are the same thing, so
we’re doing work ~ to count up the energy

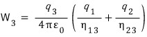
Okay, we brought q1 to r1. Well, there’s no electric field, so… W=0, that’s it.

When we bring q2, we have to do work against the electric field created by q1, so it’ll take energy???


The energy it takes to bring q3 can easily be written as a formula toooo


You probably get it by now…..

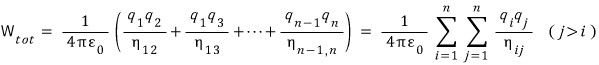
Moving all the way up to qn and then adding aaaall those individual energies up~ in one go, the task would be W1+ W2 + ……+ Wn, riiight?~

This makes sense!!!
But-but-but-but-but, when the number of charges is huge, who’s going to sit there counting them one-one-one~~ by one!!!
So, with the thought “aw hell, let’s just flat-out count them twice each, add it all up, and then divide by 2!!!!”
if we compute Wtot that way,

Why did we do it like this~~~~

Now I should answer the question I threw out at the very~~~ beginning
Why did we go through all that trouble dragging charges in one by one lol lol
When you calculate everything we dragged in~~~, it’s the same as counting up the E in that space,
or equivalently, it’s the same as counting up the energy that that object (made up of all those charges clumped together) possesses~~, so…
Now let’s look at the case where the charge distribution was continuous

(This one, laaa~~~ter, really way laaa~~~ter, we’ll have use for it!!!!
What’s the total of electric field energy and magnetic field energy in some space?!?!)
That’s when this formula gets used hehehehehe we won’t derive it back then hehe
Let’s just think of it as being the same-easy as counting up the energy contained inside the E in space, and let’s just move on~
Originally written in Korean on my Naver blog (2014-11). Translated to English for gdpark.blog.