Electrostatics in Conductors
A casual walkthrough of why E = 0 inside ideal conductors, how charges spread to the outer surface, and how to handle a nested conductor sphere problem!
This time we’re going to study electrostatics in conductors.
Nothing much to it!
Before that, what is a conductor???
If I were to talk about conductors, semiconductors, and insulators as just… common sense?, I’d say
In the Energy Band, the Energy Gap between the CB (Conduction Band) and VB (Valence Band)
if it’s big~~~~~, it’s an insulator,
if it’s almost non-existent, it’s a conductor,
and if it’s neither — somewhere in the middle — it’s called a semiconductor
but for today’s conductor part in electrostatics, since it’s not content we need here, I’ll skip the detailed explanation hehe
(So~ you should think of it as an ideal conductor (: a conductor with infinite electrical conductivity)~)
If you charge a conductor with charge Q

like this, the charges will spread out~ to the outside via mutual repulsion.


Now let’s say we’re curious about the electric field E at some point r inside the conductor.
I’ll wrap r with the Gaussian surface we learned about earlier, completely!

Let’s say this Gaussian surface is a sphere of radius k.

“Inside the conductor, the electric field is 0…….. because there is no charge (charge density) enclosed within the Gaussian surface.”
In a way it’s even easier than before — earlier, the charges were distributed continuously alllll over,
whereas here, the same amount of charge gets ripped apart and distributed only on the outer surface of the conductor
On the other hand, if a charged conductor comes close to a neutral conductor,
charge will be induced. Because conductors have free electrons
If you just keep that property in mind while solving problems, it’s easier than before!
Want to try a problem?

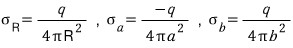
There’s a conductor sphere inside, and there’s a conductor spherical shell wrapping around it~~
Inside the inner conductor sphere there’s a +Q.
Like this, the +q charge will spreaaaaad out~

Then on the inside of the outer conductor spherical shell, -q will be induced, right??
Like this!!

And then again~ on the outer spherical shell,
spread ouuuut~ like this


Since surface charge density is charge/unit area, I divided each by its respective surface area.
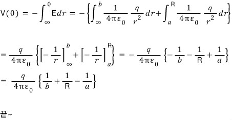
We’re curious about the potential at the origin.
Since the reference point is very far away, starting from infinity
and dragging it aaaaall the way to the origin (i.e., integrate it)
Ohhh~ but the electric field E seems to be different in each region… let’s see?
How do we do it? By Gauss’s law, of course
(Fortunately many of these problems are symmetric… it’s like the problem itself is saying “please use Gauss’s law^^”…)
Anyway, let’s do a Gaussian surface with radius larger than b,
a Gaussian surface with radius smaller than b and larger than a,
a Gaussian surface with radius smaller than a and larger than R,
and a Gaussian surface with radius smaller than R,
i) When r>b, Qin = q, yep k cool

ii) When a<r<b, Qin = 0
Yep, E=0.
iii) When R<r<a? Qin = +q

iv) When r<R, Qin = 0 (since it’s a conductor) yep, E=0
Now I’ll integrate E from infinity to 0

Just one more comment
What about the potential at r=R?????
V(R) and V(0) will be the same.
Because in the region r<R, E is 0!!
Ahahahahahahaaahng~~~~~~~~~~~
So the voltage inside a conductor sphere is the same as the potential at the surface of the conductor sphere~
What I want to say is NOT that E=0 so the potential V = 0 inside the conductor!!!
It’s that V is constant, so the ‘potential difference’ is 0
Chapter 2, the electrostatics part, is over…
Actually this chapter is almost the same as high school physics so it might look a little shoddy..T_T
From next time I’ll work harder!
P.S.
Did you know?
I’ve converted all of my blog posts to pdf
and I’m selling the pdf materials :-)
https://blog.naver.com/gdpresent/222243102313

Blog posts pdf (ver.2.0) sale (Physics I studied, Finance I studied)
Purchase guide is below ~Hello! If there’s something you weren’t satisfied with in the blog posts, if it was too…
blog.naver.com
Originally written in Korean on my Naver blog (2014-11). Translated to English for gdpark.blog.