Laplace's Equation
Chapter 3 kicks off with Poisson's and Laplace's equations — what you get when you plug ∇V into Gauss's law and let the charge density go to zero.
Finally Chapter 2 is over and Chapter 3, the “Potential” part, has begun.
From here on the content goes beyond the high school physics level
Finally I’m getting to learn stuff at university that I hadn’t been taught before — stuff I paid tuition for!!
Let’s work hard so the money doesn’t go to waste

Of course I’m not studying just because of the money though? hahaha hehe
In the previous chapter, right near the very beginning

we learned this
You haven’t seen this equation before, right? Before, we didn’t deal with charge density and instead treated the electric field in terms of qn charges at each position, right???
I said “well if those q’s are distributed continuously then it’d be an integral~” and didn’t write out the equation… so I’ll write it down now.
r is the distance from the origin and
eta is the distance from r, so
they’re clearly different! so I wrote them differently haha~~
So, we can also compute V using charge density.
Now, this equation is logical but ;; actually computing that integral with those numbers is not easy
I mean, just doing the integral itself is hard!!!!!
Differentiating is easier than integrating, isn’t it?
So ~ that’s why we learned all those differential forms earlier ~
Since integration is hard… what we had was

The first equation was derived by proving that the electric force is conservative (curlE = 0),
realizing aha~ energy doesn’t depend on path~ and calculating the potential
The second equation we derived while studying Gauss’s theorem!!!
Let me plug the first into the second.

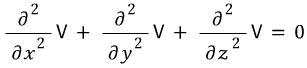
And as a result that equation colored in red is derived, and that equation is called “Poisson’s equation”
In the special case when the charge density is 0,

Somewhat obvious, isn’t it
This obvious-looking equation is called Laplace’s equation.
We’re now going to study Laplace’s equation.
(As you’re following along you might think “what are we even doing right now?” — like, huh? — and be confused…
Just keep following along, as I kept going I got to a point where I realized oh~ this is what I was doing~ like that)

Like this
I’ll rewrite Laplace’s equation and continue the explanation

Everyone, what is a “harmonic function”~ a harmonic function is a function that satisfies the Laplace differential equation.
So the potential V function above also satisfies the Laplace equation above, so it’s a harmonic function.
We’ll take a simple look at these harmonic functions
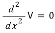
“1D Laplace equation” — 1D is really obvious but you can get confused in 2D and 3D so apparently we should look carefully!!!
Since it’s 1D, V has only 1 variable, and

this, right? (since there’s no need to do partial derivatives, I just went with ordinary derivatives, whatever)
The solution for V(x) can be found ju~st easily
V(x)=ax + b

let’s say it’s like this (it’s just for illustration so I picked it arbitrarily~)
If I try to explain in my own way what it means that the second derivative of V is 0,
Say x changes by thi~~~s much and V changes by ΔV.
Then when x changes by thi~~~s much again, V will change by ΔV by some amount I don’t know exactly haha
The fact that the difference between these two ΔV’s is 0 is what the second derivative being 0 means
((Really simply, from a mechanics perspective it’s like the change in acceleration being 0, i.e. ‘jerk’ being 0))
Anyway, in V(x) = ax + b, the constants a and b are determined by initial conditions, you know that right?
This same exact thing, I think the term is used the same way in other areas too lol
In electromagnetism too, a and b are determined by boundary conditions.
And I’ll describe a few characteristics.
V(x) is the average of V(x+a) and V(x-a) for all a.
The Laplace equation does not allow local maxima or minima in the interior of the region.
Actually these two characteristics seem pretty obvious. Since the second derivative is 0, these two characteristics seem obvious I mean…
But we need to organize them before moving on. In 2D and 3D it’s hard to…. visualize
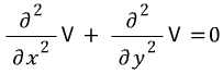
“2D Laplace equation” — now there are two variables.. partial derivatives, let’s go

this is it
The function V(x,y) — we can express the V(x,y) value at some x, y as a height z and represent it in an x,y,z coordinate system!
In 1D we could explain it like “the rate of change of the rate of change is 0”, but in 2D that explanation seems really difficult.
As long as the sum — of the rate of change of V’s change when x changes by thi~~~s much, and the rate of change of V’s change when y changes by thi~~~s much — is 0
each individual rate of change doesn’t both have to be 0. That’s what I mean!!!
The fact that just the sum is 0 means, when V(x,y) is expressed as a surface,
<“it can’t be curved!!!
That surface has to be pulled tight!!!! tight!!!! like stretched all the way!” ☜ I spent a huge amount of time agonizing to reach this conclusion…
If you all think it over carefully~ at some moment!! the lightbulb-flash!!! moment will come to you.>

If you cut a cylinder in a wavy way along the black line, the number of surfaces that can be defined above that is infinite, but
the only surface that satisfies the Laplace equation is the tight! tight! red surface — can that be right???
Let me go back to 1D for a moment lol it was a straight line right? why was it a straight line lol because it was tight lol
Being tight in 2D is like thinking of a rubber sheet stretched taut.
Now I’ll restate the 2 characteristics haha Characteristics of a harmonic function in 2D
The value of V at point (x,y) equals the average of the V values on the points of a circle of radius R centered at (x,y).
As a result, there are no local maxima or minima of V. The maxima and minima of V are always only at the boundary.
2D is manageable lol at least it’s a surface
We’ve come all this way for the Laplace equation in 3D.
But I can’t physically interpret this myself.. I can’t T_T boohoo
So, following the context from 1D and 2D, if I write out the characteristics of the harmonic function (function satisfying the Laplace equation) in 3D,

- V(r) is the average of V over the surface of many spheres!!

likuh this~
2. Just like in 1D and 2D, the minima or maxima must be at the boundary only!
So far we’ve looked at the Laplace equation. (We pretty much studied harmonic functions — since functions that satisfy the Laplace equation are called harmonic functions)
But with the Laplace equation alone, you can’t solve for the solution.
The values at the boundary, at the very~~~ edges, have to be determined before you can describe what’s inside, right?
You might wonder, “if the values at the boundary are defined, is there only ONE V that satisfies that???? definitely one????”
“the solution to the equation doesn’t have to be just one, right?”
The answer to that is
“if the boundary conditions are determined, V is — bam, just one!! — uniquely determined by those boundary values.”
Really??? prove it!! — if you say that, then I’d have to tell you about the “Uniqueness theorem”
It’s not super hard, so I’ll just skiiip the explanation~
Next time let’s meet with the method of images~
P.S.
Did you know?
I’ve converted all my blog posts into pdfs
and I’m selling the pdf materials :-)
https://blog.naver.com/gdpresent/222243102313

Blog posts pdf (ver.2.0) for sale (Physics I studied, Finance I studied)
Purchase info is below ~Hello! If there’s something unsatisfying in the blog posts, too…
blog.naver.com
Originally written in Korean on my Naver blog (2014-11). Translated to English for gdpark.blog.