The Method of Images
A breezy walkthrough of the image method — a clever trick for finding the electric potential above a grounded conducting plane by sneaking in imaginary charges.
Today I’ve brought the Image method.
What we’re doing in this chapter is this.
When the boundary conditions (boun-duh-ree condishuns) are given, we find the potential inside the boundary.
Since the partial derivatives of the potential give the electric field,
once you find the potential, finding the electric field is super easy! And you can go all the way to the charge density in one shot.
(If you want to find the potential after finding the electric field, you have to integrate, and integration is more complicated than differentiation right~ There are more integrals that can’t be done by hand than ones that can.)
So the idea is, let’s find the potential! lollollol
So now, in a place where the boundary conditions are given, we have to find the potential at each position,
and one of the methods to find that potential is the image method.
However,,,T_T it’s a special lil’ method that can only be used in symmetric situations~
(it can’t be used anytime). You’ll come to know which situations are symmetric as you go along.
Problem: A point charge q is located at a distance d above a grounded infinite conducting plane. What is the potential above the plane?
We’re curious ‘bout the potential in this kinda situation~

The boundary conditions are all essentially given.
As for what the boundary conditions were, the potential values at the boundary were the boundary conditions.
Then, the boundaries would be the very bottom and the very top!
The very bottom has a conducting plane laid out so there’s a boundary, but you might ask “isn’t there no boundary on top?”,
well, if you go infinitely in the z-axis direction, V=0 right?
Since it gets crazy far from q, that’s why we say the boundary is given~
Let me write out the boundary conditions.
When z=0, V=0
When z=infinity, V=0
Since we know all the boundary conditions, we can know all the potentials inside the boundary!
(This was the ‘uniqueness theorem’!! (it tells you “GD, what you found is the unique one^^”))
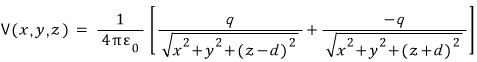
OK then, the potential at any point above the plane is not going to be
‘one-over-four-pi-epsilon-zero times q-over-r’ which we’ve been using up until now~
Because due to q, induced charge is created on the conducting plate,
a somewhat large induced charge is created near q, and a small induced charge is created far away!!
(The induced charge is going to be induced in an insanely complicated way too, right? The plane close to q will have a correspondingly large charge induced, and on the plane far away a smaller one will be induced.)
In cases like this you can use the image method. It’s a trick, a trick for solving the problem a bit more easily.
What that trick is, is bringing in a few imaginary charges to create the situation that the problem requires!
Alright! Let’s briefly~ remove the grounded conducting plate and place a -q charge at z=-d
Because by feel, it seems like doing that would match the boundary conditions exactly

Let’s try calculating V(x,y,z) and see if V=0 really holds at z=0
We just need to do potential due to -q + potential due to q

Plugging in 0 for z gives V(x,y,0) = 0
and plugging in infinity for z gives 0
We succeeded at placing an imaginary charge that creates the same boundary conditions with a new situation!
Then, in that situation with the imaginary charge placed, if we only look at z≥0, that’s the situation of our problem!!!
And that this solution is the unique solution is guaranteed by the “uniqueness theorem”.
What was the logic of the uniqueness theorem? It was, if it satisfies Poisson’s equation
and satisfies the values at the boundary, then that’s the unique solution! That’s what it was~~~
Therefore~ done! We’ve solved the whole problem!!
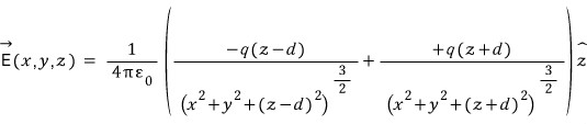
Now since we’re in the position of studying, let me find more from that situation
Since E=-∇V, if we partial-differentiate V with respect to x, y, z and compute (summing them up), how does it come out?
Everything that cancels out flies away, and what’s left is

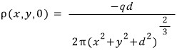
What if we’re also curious about the charge density ρ(x,y) on the plate? haha
We’d need to bring the plate back for a moment right? Since we’re curious about the charge density on the plate.
Let’s try takin’ a Gaussian surface on the plate lollollol. As for how to take a Gaussian surface on a plate, we take it as a (suuuper tiny) cylinder.

Like this! The electric field due to the charge density on the plate all cancels out and only the perpendicular direction remains!
So if we apply Gauss’s law there, let’s call the area of the bottom face of the Gaussian cylinder dA (suuuper tiny A).
2(dA)|E| = Qin/ε = ρ(dA)/ε
|E| = ρ/2ε
E = (ρ/2ε)z
Then in this situation the relationship between ρ and E at the surface is εE = ρ
so, we found E earlier right
so we just multiply by ε and we’re done?
Ah@@@ and since the ρ we found should only be defined at z=0! we can’t forget to plug in 0 for z~

As expected, the (‘induced’) charge density’s big at (0,0,0)~
And also, if you integrate over the infinite plane it comes out to -q, which is also natural right?
Since it’s the collection of induced charges created by +q, a total of -q will be induced.
Imma just milk this problem dry.
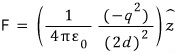
The +q charge is going to feel a force because of the charges induced on the conducting plate, right?
How much force will act on it?
Same thing. You just remove the plate, place -q at the -d position, and calculate.
So,

What about the energy, the energy?
“When using the image method, you need to be careful with the energy!!! Because,”
it’ll be a case where the new virtual space we created and the actual (in the problem) space are different.
So,
when there’s the plate and q, the energy should be half of when there are two charges, right?
When there are two charges it’s

but
when there’s the plate and q, it’s half of that,

right.
With the image method, I think it’d be good to be careful at least about the energy
Image method done~

Originally written in Korean on my Naver blog (2014-11). Translated to English for gdpark.blog.