Multipole Expansion
Ever wondered what a bunch of charges look like from suuuper far away? Turns out you can approximate the whole mess as a monopole, dipole, quadrupole, and beyond!
What is multipole expansion~
I also just learned it for the first time, and it seems fun!
Um~ when there’s a “charge distribution” somewhere, and you look at it from a crazy far away place!
From sooooo far away, all those charge distributions look like a ‘point charge’, so
when you calculate the potential going “ooh~~? is that thing a point charge~?”
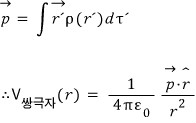
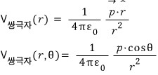
even if you use the formula V(r) = Q over four-pi-epsilon-zero-r
it’s roughly correct
Let me explore why this is roughly correct!!
Okay first

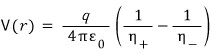
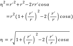
Let’s take a look at a case like this. (I’m deliberately using this situation because it’s related to the electric dipole~)
Let’s try calculating the potential from sooooo faaar away~

I’m going to use variables like this to approximate

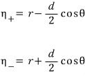
If we express the relative r as r


We can approximate it like this
To summarize, if there’s a monopole, no question the potential will be inversely proportional to distance,
but if there’s a dipole, as we saw above, the potential can be ‘approximated’ to be inversely proportional to the square of the distance.
In the same way, from a quadrupole (quodro pole), the potential at a distance r can be approximated to be inversely proportional to r cubed
and from an octupole (octo pole), the potential at a distance r can be approximated to be inversely proportional to r to the 4th power.

Now let’s do it more generally than the above case! (Because the above case was blatantly about the dipole..)

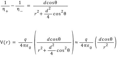
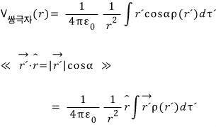
When charge distributions are densely gathered like this in some place, let’s estimate the potential at a distance r away
In the sense of adding uuuuuup the potentials from eeeeeach volume charge density

If we set the variables like this

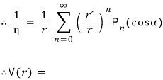
Now here too, express rela-tive-r
as r, and use the second law of cosines we learned back in high-school math class


I think back in high school Math 1 class we only did cases where the exponent was a natural number, so this kind of case……. honestly I searched it up too hehehehe
Was it when we did Taylor series… I’ve seen it somewhere… T_T

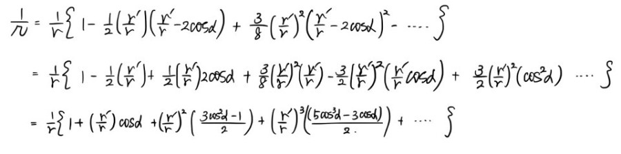
Now here we have to do a somewhat annoying calculation….. we’re going to classify the terms inside the braces by (r’/r)^n…..
I did it roughly…

The conclusion is the fact that (r’/r)^n is the coefficient of a Legendre polynomial.
(Actually I haven’t learned Legendre polynomials yet in math class…
in electromagnetism class I’m just going “oh I see” and moving on. T_T T_T T_T
I think I’ll have to study the Legendre polynomial part when I have time.. it comes up often in electromagnetism~ T_T)

What this dismantled, expanded equation tells us is
when there’s some collection of charges and you look at it from faaaaaar away and then calculate the potential at a super faaaar place
it can be expressed as the sum of potentials like — potential due to monopole, potential due to dipole, potential due to quadrupole… — these kinds of potentials!!! is what it means.
Moreover, since α is the angle between r and r’, alpha depends on the position of r??????
In other words, this means that the expansion can also change depending on where you look from!!!!
(In the veeery first case where we placed a Real dipole, the values for the potential due to monopole, potential due to quadrupole, etc. became 0!)
And the farther r gets, the more and more and more and more and more and more the higher-order terms (quadrupole, octupole, etc.) approach 0, right? You could say the monopole term and dipole term are important.
Another thing is, if you make the direction of r parallel to the z-axis, the angle alpha becomes theta of the spherical coordinate system, so calculation becomes easy in polar coordinates
(Approximation on the z-axis should be doable? hehe)
Riding this feel, let’s go further. Usually in multipole expansion (when Q is not 0) the monopole term will be the largest. (r has to be absurdly large~)
When the total charge is 0, the largest term will be the dipole term~~
(Of course, that’s if the dipole integral is not 0;; since the higher-order terms are proportional to 1/r^3 or 1/r^4, they’ll be closer to 0 than the quadrupole term)
Let me just pull out the dipole term~

If you look at the integral term, the vectors are multiplied by the scalars of ρ and spreeeead out and summed over the volume, right? If you add them all up, one vector comes out
This one vector that comes out, we will now call the “electric dipole moment.”

We’re now able to express it like this!
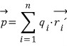
Then, the dipole moment made by n charges clumped together is

can be written like this~
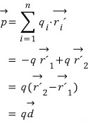
Okay now let’s go back to the dipole with -q, +q
There, I’ll reveal the true identity of the p vector once again.

Let’s say +q and -q are in some coordinate space like this.
Then
up to -q is the r'1 vector
up to +q is the r'2 vector
Then from -q to +q would be -r'1 vector + r'2 vector
Let’s call this the d vector

like this

Then, if total charge is 0, is the dipole term always the largest!?
That’s not the case. As I assumed before, there was an assumption that the dipole term is not 0 ????!!!
Then when the heck is it that total charge is 0 but the dipole term is 0???
Simply when it’s a quadrupole? At that time the dipole term will become 0 I guess

Give me a quadrupole. No matter how you do it
two p vectors come out, right? Whether the two vectors go up and down, or the two vectors go right and left??
But the sum of each dipole moment is the total dipole moment vector sum, right??????(the sigma q_i r_i from before)
So in this case the dipole term becomes 0 and in the multipole expansion equation the quadrupole term will determine the potential~
There’s also another important point in multipole expansion! It’s
“where is the origin of the coordinate system???”
For instance

when charge +q is at the origin of the coordinate system like this, when expressing the potential at r, is the dipole term 0?
Why is it 0?

Because in this the r’ vector is 0, the dipole term is 0
However, here’s the thing???? there’s an interesting point.

When the +q monopole is somewhere other than the origin, the r’ vector survives.
So the dipole term survives, is the point.
What I want to tell you is that, the multipole expansion can change depending on where the origin of the coordinate system is!
Earlier, the multipole expansion by the charge distribution changed depending on where r is, right? I think we can view this in the same context.
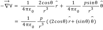
Now finally let’s look at the electric field created by a dipole. I’ll use the fact that the electric field is minus gradient V.

From before

It doesn’t depend on Φ
Now let’s take the gradient.

Multipole expansion is done~ ~
Originally written in Korean on my Naver blog (2014-11). Translated to English for gdpark.blog.