Electric Displacement
We define the electric displacement vector D to neatly separate the total electric field from polarization effects inside a dielectric — turns out it plays really nicely with Gauss's law!
What we’ve learned so far while studying polarization density is
that we could calculate the bound charge density inside a dielectric and the charge density on the surface of a dielectric using polarization, i.e. polarization density.

Like thiiis
When a medium is polarized, the electric field that gets created again as a result is because of that!!! that bound charge density over there!!!(We’ve caught the culprit.)
OK so our interest (for now) is ‘inside the dielectric.’
Due to some other electric field the material becomes polarized, and then an electric field will again be created there, right?
The total electric field “inside this dielectric” = all kinds of external electric fields + the electric field formed inside the dielectric due to polarization
Let’s classify it into these two.

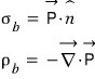
Here, using ∇E=ρ/ε and ρb=-∇P, let’s change the equation into one in terms of rho.

<Don’t forget. E is the total! electric field inside the dielectric~>
From that, let’s newly define the vector D.

D, the electric displacement, i.e. i.e. i.e. i.e. i.e. i.e.

Looks like something we’ve seen a lot somewhere, right? lol

It reminds me of this.
When there’s no dielectric, D and E would be the same.
But when there’s a dielectric, let’s use D, that’s what I’m saying.
The D vector is!“all kinds of electric fields except the polarization effect”!
I’ll compare it with E while solving a problem.

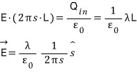
So the problem is like this, but let’s suppose there’s no insulating rubber wrapped around it and find the electric field due to the wire.
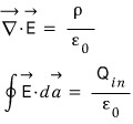
If we use Gauss’s law

OK now let’s bring back the insulating rubber and combine them!
Then don’t forget there’s also the polarization effect!! OK if there’s a polarization effect, that’s ~ hard to count,
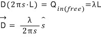
so let’s use the electric displacement (because we don’t have info on the total electric field or the polarization density, all we have is the external charge density lambda..)
Since D considers what’s inside the dielectric, (a>s), riiight?

OK loooook~ because of that line charge density you see there, at a distance s in a vacuum state the electric field is like that,
and if it’s not a vacuum state, the electric displacement due to the line charge density at a distance s is like that.
It seems like we can find the reason why the two differ by a factor of 1/epsilon_zero by looking at the “dielectric.”
Since bound charge density gets spread all over~~ the dielectric, a little change occurs,
and now we can express all kinds of external electric fields using the total electric field and the polarization, right?
I’m not sure if it’s making sense yet~?
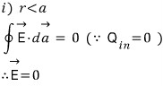
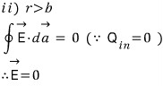
What about outside the dielectric? Outside the dielectric, P is 0 right???
Since D = epsilon_zero E, the electric field outside the dielectric is just E = D/epsilon_zero~
It looks really~ easy, but if we don’t use D, we have to find the total electric field by accounting for all kinds of external charge densities and all the influences of the surface charge densities created by polarization,
so even in this case it’s convenient to use D.


I’ll solve this problem once by finding the electric field using E
and once by using D.
First, let’s solve it by checking the electric field one by one.



OK let’s solve this by finding E using the D vector.
Here, are there any other kinds of external electric fields???? So, there’s no other kind of charge density besides polarization, right??

Originally written in Korean on my Naver blog (2014-11). Translated to English for gdpark.blog.