Linear Dielectrics
We dig into linear dielectrics, untangling how polarization P, electric susceptibility χₑ, permittivity ε, and the displacement field D all connect!
So now from D = εE + P, let’s think more about this P!
Way ~ back we introduced polarization with the equation p = αE,
and we called alpha the “atomic polarizability,” a measure of “how the atom responds to an electric field,”
so alpha probably has a value unique to each atom~
Alpha being large means that for the same E, p is bigger than in other substances, meaning it polarizes more (or better), and alpha being small means the opposite.
That was at the atomic level, but for an “object” it’s nearly impossible to consider each and every atom, so instead of p, the concept P was introduced,
and P, which denotes p per unit volume, will be proportional to the electric field just like p.
Hmm~ well the thing is…..
It’s proportional only in the case of linear dielectrics.
We will be considering these linear dielectrics.
We’re saying we’ll deal with cases proportional to the electric field.
For a linear dielectric,

this relation holds. If this equation holds, it’s a linear dielectric~
(The reason we pulled out epsilon-zero is to make chi a dimensionless number, and now chi is something that depends on the structure of the material…. it’s like alpha from before!!)
Anyway, chi is a proportionality constant determined by conditions like the material’s structure or temperature and so on.
In Korean it’s called jeon-gi gam-su-yul, and in English it’s called electric susceptibility.
Oh, and E above is the total electric field.
So that E is the sum of all kinds of electric fields excluding the polarization effect + the effect from polarization, all counted together.
Now if some object is placed in an electric field E-zero, we can’t find the total electric field E using E-zero and P…
Now if some object is placed in an electric field E0,
we cannot find the total electric field E using E-zero and P.
Because E-zero creates P, then P creates another E, and the other E changes P to make a new P,….
this process continues infinitely……..haa~~~~
That’s why we learned the displacement field earlier!!! The electric field due to ρ(free)!!!
So

So we were able to pull out a relation.
Here epsilon is called the “permittivity.”
Right now chi (electric susceptibility) and epsilon (permittivity) have both shown up and it’s pretty confusing.
Let’s go over the roles of those constants once!!!!
First, chi (electric susceptibility) is related to polarization.
Similar to the atomic polarizability alpha when we looked at the atom microscopically earlier,
a large chi in a dielectric means it polarizes well accordingly, and the opposite case is the opposite.
Okay okay okay okay okay, once again chi represents ‘how well (or how much) polarization occurs.’
Now let’s look at permittivity. Permittivity goes into the relation between the displacement field and the total electric field.
First, chi getting larger means polarization happens well, right???
If polarization happens well, what will happen? It will cause some cancellation against the external electric field, right??? ((Because it creates a new electric field in the direction opposite to P))
Then the total electric field will be somewhat smaller than the external electric field.
Aha
If chi is large, epsilon is large, and if epsilon is large ☞ it causes large cancellation against the external electric field.
If chi is small, epsilon is small, and if epsilon is small ☞ it causes small cancellation against the external electric field.
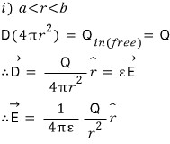
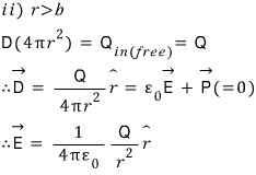
Let’s solve one problem.


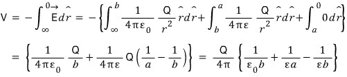
What it’s asking is the potential V. How do we find V?
We could add up all the potentials created by the surface charge density or volume charge density at each point, but the integral gets too complicated….
Plus this problem is a ‘sphere’ so there’s symmetry,
Aha — so how about finding the electric field with Gauss’s law and integrating the electric field???
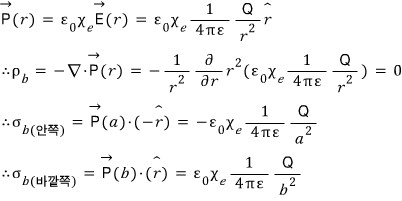
But there’s a dielectric, so rather than finding E, let’s use the displacement vector D to find the total electric field E, and then find V.
It’s a conductor ‘sphere,’ so for r<a, no need to even look — Qin= 0, so the total electric field would be 0~~
Then we’ll only examine two cases.


Now let’s integrate over the intervals.

Now one more thing!!! Since we know the total electric field E in the interval inside the dielectric, we can also find the bound charge density!

Originally written in Korean on my Naver blog (2014-11). Translated to English for gdpark.blog.