Linear Dielectrics (Part 2)
Why even bother stuffing a dielectric in a capacitor? Turns out it bumps up the capacitance — and Venom-Spider-Man definitely has the cushier gig because of it!
There seemed to be something more worth supplementing in the linear dielectrics part, so I wrote linear dielectrics season 2! hehe
You know how we put dielectrics between capacitors, right?
Why do we bother putting one in when we don’t have to? ? ?
It’s because the capacitance gets bigger.
So the cellphone battery we use is a structure where a super lo~~ng capacitor plate is folded up all crumpled together,
and I hear they’ve put a gel-like dielectric in between?
First let’s look at the case where the inside of the capacitor is vacuum, then P=0, so let’s say D=εoE1 !!
What about when a dielectric with permittivity ε is placed between the capacitor plates??? When a dielectric is inserted, let’s say D=εE2
((Duh, ε0<ε, right? Because ε0(1+χ) = ε.))
D will be the same in both situations. Because D is due to ρ(free). !!
Integrating the total electric field E1 inside the capacitor before inserting the dielectric over the distance between the capacitor plates
(The labor (work) it takes for Spider-Man to use his web to pull the charges on the opposite plate toward the plate where he is)
Integrating the total electric field E2 inside the capacitor after inserting the dielectric over that distance
(The labor (work) it takes for Venom-Spider-Man, after the dielectric is inserted, to use his web to pull the charges on the opposite plate toward the plate where he is)
Suppose Spider-Man and Venom-Spider-Man are doing this kind of part-time gig lol lol lol lol
Who has the cushier gig??? lol lol lol Obviously Venom-Spider-Man is slacking more than Spider-Man, right?? (mango mango mango gig)
Why?????
Because E2 is smaller, the charge will be pulled more easily than at E1.
Now!! Whose V is bigger?
The one without the dielectric is bigger, right??
Since Q=CV (how to memorize the formula?? → Q is a C-bastard), the capacitance is bigger in the capacitor with the dielectric, which is Venom-Spider-Man’s workplace!
Kind of fascinating.
Here’s why it turns out this way.
In case1, E1=D/ε0, and in case2, E2 = D/ε, so
E2/E1 = (D/ε)/ (D/ε0) = ε0/ε
When you compare the two, E2 is smaller than E1 by a factor of ε0/ε….
↓
V2 is smaller than V1 by a factor of ε0/ε.
↓
(For the same capacitance)
C2 is bigger than C1 by a factor of ε/ε0.
So we call ε/ε0

What the dielectric constant represents is the ratio of the permittivities of vacuum and the dielectric….
Well, it’s like saying let’s set vacuum as the reference hehehehe (seems similar to the refractive index in waves, right?)

we get to write it like this hehe
Ending the post like this feels a bit unsatisfying lol lol lol lol
so I’ll solve one problem that gets asked a lot a lot a lot and then wrap up.
I found a problem that covers everything we’ve learned so far.
For review, let’s go-go-go-sing it

A parallel plate capacitor is filled with two sheets of linear dielectric.
The thickness of each sheet is a, and the distance between the two electrodes is 2a.
The dielectric constant of plate 1 is 2
The dielectric constant of plate 2 is 1.5
The free charge densities of the upper and lower electrodes are +σ, -σ.
a) The displacement field D inside each dielectric plate = ?
b) The electric field E inside each dielectric plate = ?
c) The polarization density P inside each dielectric plate = ?
d) The potential difference V across each dielectric plate = ?
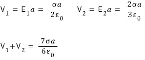
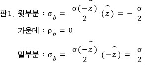
e) Where are all the bound charges and how much?
((The reason the hatching directions are different is… just that they’re different types~ That’s all^^*))
Starting with a)… hmm, D is the same in both!! Why??? Because ρ(f) is the same!!!

b) comes out easily.

c) The polarization density P inside each dielectric plate?

so we need to know that ‘chi’ to compute it

*****Since the free charge density on the plates is sigma, let’s express the displacement field D vector in terms of sigma.
For one plate the displacement field is 1/2 sigma, and for the other plate it’s also 1/2 sigma, so between the plates they reinforce and outside the plates they cancel out and vanish, so
between the plates it’s sigma in the downward direction!!!! Now we can tell just by glaring at it hehe, because we’re gauss’s law geniuses now

Actually I should have expressed the earlier answers in terms of sigma too…. so right at the start of the problem I should have defined the D vector first, but I forgot.
But it’s not hard, so we can just rough~ly plug it in hehe
d) The potential difference V across each dielectric plate = ??

Rather than a formula, this is just common sense to us now
Therefore

e) Where are all the bound charges and how much?




This time let’s find out which way of putting a (linear) dielectric between the capacitor plates gives a bigger capacitance.
To figure out the capacitance, we need to find V between the capacitor plates, right?
Since we’ll use Q = CV @@ let’s proceed step by step with that goal in mind
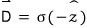
Let’s find V for the first case, the left-hand figure. First,


For the second case, I’ll just compute half of this kind of insertion!!! So
capacitance without dielectric + capacitance with half-dielectric
I’ll compute it this way to get the capacitance when half is filled like that.




Ahhh~ filling the dielectric like the second case is the way to raise the capacitance!!!!!
From now on, if you want to raise the capacitance, when you try to smear on a jelly-like dielectric substance and it’s not quite enough to fill the whole thing, don’t spread it evenly,
just pack-pack-pack it in ~ hehe
Originally written in Korean on my Naver blog (2014-12). Translated to English for gdpark.blog.