Lorentz Force and Magnetostatics
Charges gotta move to make magnetism, and the total force they feel from electric and magnetic fields together? That's the Lorentz force!
Up until now we’ve been studying electrostatics, but starting today it’s magnetostatics!!
Back then the charges were sitting still, right? Why were they sitting still?
In order not to consider situations where the electric field changes, we had the charges sit still.
If the charges don’t move, the electric field around them won’t change!
Alright so what we’re going to study from now on is!
Magnetostatics. Literally, magnetism sitting still~
Magnetism is sitting still!?!?!?? What’s that supposed to mean…
Now the charges need to move a little.
Because when charges move, ‘magnetism’ is produced.
But instead, while the charges do move around in space,
rather than wildly running around in all directions,
there are a few restricting conditions.
If a few restricting conditions are applied, the magnetism doesn’t change.
That is, the magnetic field doesn’t change.
- The path they go along is precisely set — it’s set as a ‘wire’.
Also! 2. They move at a constant speed.
When charges move like this and produce a magnetic field, they end up creating a constant magnetic field around them.
Alright then, let’s go in!
Originally, a long time ago, people thought the electric field caused by charges and the magnetic field caused by magnets were separate things.
But in the 1800s, the Danish physicist and chemist H.C Oersted was doing an experiment with a battery,
and happened to see a compass changing near a wire, and
“Wat is dis!?!? Are electricity and magnetism not separate things!?”
Electricity and magnetism then got combined together, and became today’s electromagnetism.
Alright, and a charge receives a force from a magnetic field.
A charge that is just sitting still doesn’t receive a force from the magnetic field,
it’s a ‘moving charge’ that receives the force. This force is called the ‘magnetic force’.

To be more comprehensive, considering when the electric field and magnetic field are both present,

we write it like this~~~~
The front term means “the force received from the electric field whether moving or not”,
and the back term would mean “the force a moving charge receives within a magnetic field”
And the naming — since it’s electric force + magnetic force — we can just call it “electromagnetic force”
And this electromagnetic force is what’s called the “Lorentz Force”.
(Note: someone might ask, what’s the reason the Lorentz force exists in nature? Why does the Lorentz force occur???!!!
As an answer to this, there’s an analogy I like: that kind of thing you shouldn’t ask scholars, you should call “God” and ask Him. We humans do physics to look at this natural world that gods or something, that someone has made, and to discover it and explain it; questions like why does gravity exist, why does the electromagnetic force exist,,, these are meaningless questions!!!)
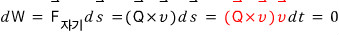
So let’s take a closer look at the v cross B part — the force-from-the-magnetic-field part we just saw for the first time
So now the part where the force comes from the magnetic field,

let’s interpret this a little bit.

Let’s say a charge of charge Q enters into that kind of magnetic field at a constant velocity v
You all know that the x mark on the magnetic field means the direction going into the page, right???? I’ll point that out once more hehe
So at the exact moment it just entered, v is still in the → direction,
so the direction of v cross B is upward.
(The result of a vector cross product is a vector, right. And that vector means some kind of ‘force’)

Like this — so the moment it receives a force, at that instant the charge’s trajectory goes pyorok~~~ (describing the split second)
the direction changes too, right?

It changes like this, and then changes again from there, and then changes again from there
If you imagine this continuing nicely ~, the charge will trace out a circle
Since it always and everywhere only receives a force in the direction perpendicular to the vector v,
thinking of the force as acting like a centripetal force for circular motion, saying that it does circular motion also makes sense.
So now we’ve gotten a feel for it. (though it might be a given)
The fact that the magnetic force F does no work.
Why does the magnetic force do no work? Thinking about it roughly — because the force only acts at 90 degrees! — that kind of reasoning would also be fine!!!
But I’ll show off a bit more, and since mathematically it’s clearly 0, I’ll write it out.

The red part becomes 0~~
Alright and as I said before,
not the case where charges move in all directions in space,
but the case where they move in an orderly fashion along a wire — isn’t that what we said we’d look at?
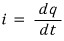
The charges flowing along the wire would be a current, and a little more specifically,
defining current as the amount of charge flowing per unit time,

we use the unit [A : ampere], and its meaning is how much charge passes by per unit time???~
So 1A means 1C (coulomb) of charge passes by in 1 second.
Then if a charge with linear charge density λ moves along a wire at velocity v, the distance the charge moves during dt is “vdt”, right
How much charge moved over vdt?
That would be… we said it’s λ much…
i = λv
Actually i is a vector quantity, but since it flows along the wire, people don’t really use vectors much…
- Since you only need to distinguish between just two cases — is it this direction or that direction
or 2. Because setting the direction as plus or minus is more convenient!!
And I’ll finish by introducing a more theoretically detailed classification of this thing called current.
Currents are
ones flowing along a line
ones flowing along a surface
ones flowing along a volume
Currents are classified into these three types.
Well, we’ve already dealt with the line one a whole lot,
but charge flowing through a surface or a volume — we didn’t deal with it much in middle/high school, so let’s take a look.
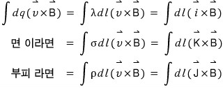
If current flows on a surface, we can define a surface current density.
This is written as K, and K means “the current passing through a unit-length width”.
Imagine a surface spread out.
If you take scissors and cut it into crazy small strips????
in the end it becomes ‘current passing through a line’, right? That’s what K means
So if the surface charge density is σ and these
are moving in an orderly fashion with velocity v, the surface current vector K
could also be written as K = σv.
Volume current density (volume current density) is the same
It’s written as J, and what J means is the charge passing per unit area per unit time!
A unit volume — you take some volume and slice it up into crazy small areas.. with the volume being 1, slicing and slicing and slicing it finely — that’s what a unit volume is.
Then the unit volume ends up looking like a super tiny pipe????.
It means the (very small) current flowing through that pipe.
If the volume charge density is ρ and these ρ’s move at a constant velocity v,
we could write the volume current density as J = ρv~~heh
There’s a reason we defined each of these currents! !!
Alrightalrightalrightalrightalrightalrightalright
Up above, when charges moved individually, if they entered a magnetic field they received a force, right??????????
A current is just many charges moving.
So

If the big charges received a force like this,
then the tiny charges are just

receiving a force like this, and since there are a buttload of these and it’s continuous!!! an integral would be appropriate for summing them

Ahah~~~ now let me express dq a bit differently.

A current-carrying wire, current-surface?, current-volume? — when they enter a magnetic field, they receive a force like this ` shwoooong~
Alright and one more thing!!!!!!!!
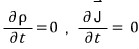
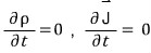
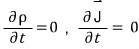
Let me put a bit more meaning into the fact that i is constant.
Let me just say the conclusion first:
i being constant

can be represented like this.
I’ll just interpret this equation like this.
Let’s say you’re staring at some unit volume
You put your eyes super close and bam! you’re looking at just that part right now!!
At that time, if i is constant, that unit volume will continuously show a constant ρ(rho), right???

This equation — now I’ve completely understood it.
Alright, but that statement means. When you put your eyes close and stare,
the stuff going shoong shoong shoong by appears constant.
If you take a snapshot of that instant!!!, any instant is all the same~ it can also mean this hehehe
And in turn, that can also be said as ’the charge coming in and the charge going out are equal!!!’
yeap~ so the meaning “the current is constant”

this equation

what I wanted to say is that it can also be represented like this.
Originally written in Korean on my Naver blog (2014-12). Translated to English for gdpark.blog.