The Biot-Savart Law
We 'discovered' the Biot-Savart law — the equation that tells us exactly how big a magnetic field gets around a current-carrying wire, then worked through some examples hehe~
Up until now, we’ve been exploring how a moving charge responds to a magnetic field B and how it experiences force!
A moving charge is a current, so if we say we now know “this is how a current-carrying wire responds to a magnetic field!”,
this time it’ll be “we ‘discovered’ and came to know that a constant magnetic field is generated around a wire carrying a constant current.
So?? How big is the magnetic field that’s generated? Is it related to the strength of the current??? How much is it related???” — we’ll answer that question.
The answer will be given by the ‘Biot-Savart law’.
Alright, let’s get started.
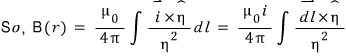
When a current i flows through a damn tiny piece of wire of size dl (a part of the wire),
a magnetic field is formed at a distance r away from the wire,
and how much????

(I used the Greek letter eta, but as I mentioned before, there’s no way to write a script r in the Naver equation editor,
so I decided to use eta since it looks similar.
The script r is the relative r, representing the vector r-r’. The vectors r and r’ are based on the origin.)
Each dl creates that kind of magnetic field at an η-distance away, so if we add up all the dB(r)s?
Since the dl’s are continuous, we can use an integral — an integral — to sweep them all up and add them, right?

This equation right here is the Biot-Savart law (Bio Savart Law) hehehe~
The coefficient mu-zero is called the permeability of vacuum, and its value is four pi times ten to the minus seven, in units of [N/A^2].
And for the unit of magnetic field B, we use [N/A·m] or [T (Tesla)]~~~~
(For info on the coefficient, it’s probably better to get it from a textbook hehe)
Alright, from now on let’s use the Biot-Savart law
to calculate the magnetic field at some (specific) points, one at a time hehe~
It’s not hard hehe

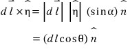
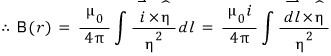
In this situation, let’s use the Biot-Savart law to calculate the magnetic field at point P.


Setting up the variables for each dl like this,
and organizing one by one, step by step,



What if it’s an infinitely long wire?!?!?!
If you’re curious about the magnetic field, you just set theta1 and theta2 from -90 degrees to 90 degrees.
Aha~~~ when a current i flows through an infinitely long wire, at a perpendicular distance s, the magnetic field is mu-zero-i over two-pi-s, isn’t it?
Oh~ so it’s inversely proportional to the distance, not the distance squared~
Back in high school physics class

this reminds me of how we learned it like this.
Let me do just one more.

When a current i flows through a circular loop wire of radius R, let’s quantitatively analyze the magnetic field at a distance z away from the center of the circle using the Biot-Savart law hehe~!!!
First off, let’s throw in the formula again


Alright, just like what we did above,
we’re going to whoosh~~~ add up the magnetic field from each dl,
and to express the variables dl and relative-r in terms of R and z which we know, we need to consolidate them.
The picture on the left depicts the magnetic field dB due to dl.
If we add up those dBs in a circle swoosh~, only the z direction will be meaningful and the horizontal components will all cancel out clean~ and disappear,
so we’ll just pull out the z component and integrate only that heh



Originally written in Korean on my Naver blog (2014-12). Translated to English for gdpark.blog.