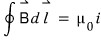
Ampère's Law
If electrostatics has Gauss's law then magnetostatics has Ampère's law — the line integral of B around any closed loop just equals μ₀i_in, hehe!
Today we’re going to learn about Ampère’s law hehehehe
To say it from the conclusion first, if electrostatics has Gauss’s law,
magnetostatics has Ampère’s law hehe ^^

An infinitely long wire is poking out through the monitor, with current i flowing through it.
The magnetic field at a distance s away
we found in the previous chapter, right??? with the Biot-Savart law?!?!!

It’ll form like poof~ like this???? I’ll skip the calculation I did before and just write the result.


From here on it gets important hehehe alright alright alright alright alright
At every place a distance s away, the magnetic field will be as above, right???????
Ahh~~~ so let’s add up all~~~ the magnetic fields at points of radius s, okiee

Huh????
Wut??? Then, let’s also take a look at an infinitely long wire that doesn’t pass through the center of the circle.

A case like this

Of course this is the same, right?
But how do we rotate this around that circle and add it up…

Ah, first, looking at it qualitatively, on the curve part close to the wire
big~ B’s get added but the integration interval is short,
and where it’s far from the wire small B’s get added but the integration interval is long.
Anyway, it’s the same as when it’s at the center of the curve, so in this case too

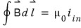
So what I want to tell you is that you can find the line integral Bdl by using the wire (through which a constant current i flows and which is infinitely long) that passes through that closed surface as the measure
Namely

By looking at the current that passes through!! !!! you can find it out.
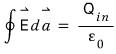
In fact this is very similar to Gauss’s law in electrostatics

Now, in Gauss’s law, the closed surface that wraps the charge was called the Gaussian surface, right?
Here, that curve that wraps the current passing through is called the Amperian curve ^^
Alright, now let’s follow that equation of Ampère’s law even further.


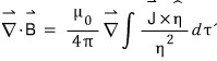
Oh ho, then let’s look into the divergence of B too!!!
Let’s just slap the operator del (∇) onto B!
First I’ll express B in terms of J!! How??? idl = Jdτ, like this!
Then if we slap the del operator on it

it’s this! Since we introduced a prime coordinate system, we need to organize this first
The B at some Point is determined by the J at another point.
So what I’m saying is, the variables of the B function and the variables of the J function are different.
Because the J at point (x, y, z) isn’t what makes the B at that point.
B(x,y,z) ////J(x’,y’,z')
Since we set it like this
η = (x-x’)i + (y-y’)j + (z-z’)k
Alright, so the volume integral is y’know, just bashing out an integral with respect to J, so dτ’ = dx’dy’dz'
Alright, then let’s do the integral again

Alright, what this means is
the fact that the divergence of B is 0
also means that magnetic monopoles don’t exist in nature
Can an N pole or S pole exist alone somewhere???? They always come together, right? Well, it means something like that too, apparently
Originally written in Korean on my Naver blog (2014-12). Translated to English for gdpark.blog.