Ampère's Law (Part 2)
Let's actually work through Ampère's law problems — infinite wires, surface currents, and why symmetry is the magic keyword that makes everything ridiculously easy!
To understand a concept, there’s really nothing better than actually working through problems!
No matter how many times you prove something and still don’t get it, solving a problem~ and suddenly the concept clicks~.
If you didn’t quite get what I said earlier, just follow along with the problems here slowly slowly slowly,
and please!!! make sure to solve them once more on your own hehe.
Before, we —
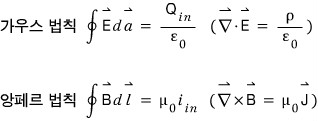
we learned that if electrostatics has Gauss’s law, then magnetostatics has Ampère’s law, and we studied Ampère’s law.
To write it out once more,

That’s how we derived the relation.
Just like Gauss’s law, when there’s ‘symmetry’, you can use this veryyy! usefully!!!(keyword is symmetry)
Alright, first let me show you the power of Ampère’s law.
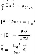
When we need to find the magnetic field at a distance s from an infinitely long wire, let’s not use the Biot-Savart law but use Ampère’s law instead.

It’s gotten ridiculously easy just like that, right???
Now once again, ‘what was the reason we could use Ampère’s law?’
It’s because there was symmetry such that the magnitude of the magnetic field is the same at every point at distance s!!!!
Let’s solve an even more applied problem.

When a surface current K = Kx flows uniformly on the xy plane like this, find the magnetic field above the plane!!
Magnetic field from a current… are you going to use the Biot-Savart law???
Nope~~~ before using that, let’s first check if there’s symmetry
Why???
If we can use Ampère’s law, we wanna use it!

What I drew in blue there is the magnetic field created by each individual surface current density.
Now, though — since it’s an infinite plane, at the same height they’ll all be the same!?!? (direction is ←)
Nicee, there’s symmetry!!!!!

Let me set up a rectangular Ampèrian loop like this hehe.
At the points on that loop, the magnitudes of the magnetic field will all be the same, right??
Now, if we sprawl the line integral out~~, since it’s a dot product (inner product),
on the vertical sides it’s 90 degrees so they become 0, and what’s left in the line integral is above the plane and below the plane!
So then,

Solved insanely easily, right?!?!?!?!
At least it seems easier than the Biot-Savart law hehe.
One more!!!!! Solenoid!!!!!!
We learned a lot about it in middle and high school too! hehe
Let’s tackle it with Ampère’s law.

Find the magnetic field inside and outside a verrry long coil through which a constant current i flows.
We already learned in high school from Ampère’s right-hand rule that the magnetic field outside the coil is 0, but,
let’s proceed the way we’ve been taught.
First, since it’s a case of an infinitely wound wire carrying current i, it’s megaton super ultra densely packed.
Then we can view it as a surface current density K going around and around the circumference of the cylinder.
At that point, if we set up the Ampèrian loop like the blue loop,
there’s no i(in) passing through that Ampèrian loop, right?!?!?!?!?
So
outside the solenoid (coil), the magnetic field is 0.


This time, to see what the magnetic field is like on the inside of the coil, let’s set up the Ampèrian loop like the green loop!!!
(To take symmetry into account, above we made it round, this time rectangular!!!)
Ah~ outside the field is 0, and on the vertical sides of the Ampèrian loop the inner product when doing the line integral is 0 so those all go away,
and only the magnetic field on the left vertical side remains.


Originally written in Korean on my Naver blog (2014-12). Translated to English for gdpark.blog.