Magnetic Fields in Matter
Chapter 6 is basically Chapter 4 all over again — once you survived polarization density, the magnetic dipole moment stuff practically explains itself!
From now on we’re going to do something very similar to the ‘polarization density’ we did in chapter 4….
Back then it was ’external electric field made things go blah blah blah~~’ right?
This time in chapter 6. magnetic fields in matter, it’s ’external magnetic field makes matter go blah~ blah~’.
But! Since we suffered so much in chapter 4, it’s not that hard here!
Since I did the polarization density part of chapter 4 reallyreallyreally diligently in my own way, I was able to breeze through this!
The professor said that too and at first I was like (pssh, lies….) lol lol lol but it really was like that hehehe
In chapter 4 we had ’electric dipole moment p'

how did we pull this out???? We defined it while doing the ‘multipole expansion’ and brought it in right???
The multipole expansion was

we did a power series expansion of this expression right?
It’s exactly the same here.
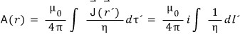
We do a multipole expansion of the A vector from before. Vector A is

we multipole-expand this~
decompose it into monopole, dipole term, quadrupole etc. and from there
we define and bring in the ‘magnetic dipole moment m’, and the method is so exactly the same as the previous chapter 4…..
I’ll skip the things that are derived in the same way.
Really, it’s exactly the same.
Just scribble along by hand using the mathematical tool from before exactly~~ as it was and you can prove it.
So then

Vector area????? Let’s just take it easy.

The vector area, whether it’s the black surface, the red curved surface, or the blue curved surface,
the vector area is defined as the area of the closed surface wrapping that curved surface, like a.
This part isn’t hard either, right?
I was debating whether to leave it out or not, but to maintain the logical flow of the post
I just attached one picture of content that ev~eryone already knows. hehe
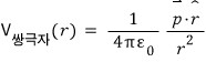
And then lastly, in chapter 4 we also found the potential due to the electric dipole right?
This can also be derived with the multipole expansion, but I’ll just attach one equation.
First, the potential due to the electric dipole is

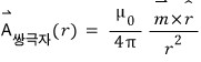
The vector potential due to the magnetic dipole is similar.

((Somehow the dot product just changed to a cross product??
As you go further you’ll see, but the difference between the magnetic field and the electric field is almost always just this difference of dot product and cross product..
Of course some people may feel this is obvious, but it still doesn’t click in my heart T_T T_T T_T sob))
Now we’ve laid all the base we need to lay, let’s go in@@@@@@@@@

Matter is made of atoms, and atoms have electrons going around in orbits.
An electron going around — can we see that as a current i flowing in the opposite direction???
What I want to say is I want to see an atom just sitting there as a magnet just sitting there.
«actually when electromagnetism was developing, didn’t they describe atoms with the orbital model? Of course nowadays it’s the orbital model, electron cloud??
Anyway… from a quantum mechanical viewpoint that orbit model is all wrong so;;; if you ask me “hey why are we doing this!!!!?!?!?!”.. I don’t really have anything to say….
but I feel it’s about the same level as the question “why are we doing Newtonian mechanics?!!?!??!” T_T T_T
damn I’ve gotta take quantum mechanics soon so I can have my own arguments, but I haven’t learned it yet so I’ll just…. (I’m taking it next semester! hehehe heehee) for now I’ll keep going hehehe»
Usually the atoms with electrons spinning around like this have their directions all every-which-way so when you do the vector sum of the dipole moments it becomes 0 and they cancel each other out.
(The atomic scale is so small that [what we see] macroscopically can be regarded as a dipole moment.)

So these things that were like this (I drew atomic-level guys as magnets like this)

when you bring a magnet close, usually the N pole is approaching, so the atoms inside line up in ranks and files with their S pole facing down.
This kind of material is called a ‘paramagnet’,
and conversely there are materials where when the N pole approaches, they make the N pole face down
and as a result due to the repulsive force with the magnet they go whoosh~ away (well I’ve never seen one lol lol lol lol lol lol this is news to me)
this is called a ‘diamagnet’.
Aaaaaand when you take the magnet away from a paramagnet, most of them lose their magnetism again right?!?!?!?
But there are cases where that doesn’t happen, right??? (like how if you hold a magnet against iron for a long time that iron becomes a magnet)
and the material where that lasts for a pretty long time is called a ‘ferromagnet’.
Now let’s look at just one out of the many atoms!!! Just one atom~!!!

Out of the many many atoms, one of them has an electron going around like that (if we’re being picky, the electron would be going clockwise)
Then the magnetic dipole moment is m = abin right? (n is the unit vector)
At that moment an external magnetic field B comes in like that.
And we already know that θ lines up in ranks and files to become 0 degrees!
Now I’m going to work out how it lines up in ranks and files.
Sides 1, 3 will each receive force forward and back,
sides 2, 4 will each receive force to the right and left (∵ F_magnetic = q(v x B))
Now let’s look at that picture from the front.

It’ll receive a torque due to F_magnetic.

So the total torque is, (aFsinθ)x
and since F = ibB,
torque = (abiBsiθ)x
= (mBsinθ)x = mxB
We’ve looked at the mechanism for lining up in ranks and files.
Alright alright alright, at first the atomic arrangement of the matter is all every-which-way, so when you add up all those magnetic dipole vectors it becomes 0 and no magnetic field forms,
but when B acts from outside, the magnetic dipole moments line up
and like polarization in chapter 4, magnetization forms.
(Just as we expressed the alignment of electric dipole moments with the polarization density vector P,
we express the alignment of magnetic dipole moments as a vector to form the magnetization density M (magnetigation).
It means the magnetic dipole moment contained per unit volume.)
So ultimately because of this, a magnetic field due to the object is formed again.
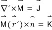
Let’s look at this newly formed magnetic dipole moment and see the ‘bound current’ that’s newly formed in that object.
In chapter 4 we looked at the ‘bound charge density’ right? It’s ve~~~ry similar to chapter 4 right? Not just similar, it’s just straight-up the same, same.
The derivation process starts from the ‘potential’ as before.
I was debating whether to skip it, but for this part I’ll lay out the equations in a row. (it’s really the same as the bound charge density)

In the above, the first term is the vector potential term due to the volume current density—
the second term is the vector potential term due to the surface current density—


can
it
really
be
this
similar
As I previewed at the very front, it seems the only difference is the dot product changing to a cross product.
mm heh heh heh heh heh heh heh
Now we’re almost at the end of magnetostatics~
Once we study the auxiliary field it’s the end.
It’s the same principle as the D vector we learned as the displacement field in chapter 4, mm heh heh heh heh heh
The hour is late and it seems this person has gone mad, mm heh heh heh heh heh heh
I’ll stop here today and go get subjected to sleep, mm heh heh heh heh heh heh heh heh heh heh heh heh
After I finish the auxiliary field tomorrow!!! I plan to focus my main effort on classical mechanics posting.
mm heh heh heh heh everybody farewell, mm heh heh heh heh heh
Originally written in Korean on my Naver blog (2014-12). Translated to English for gdpark.blog.