The Auxiliary Field H
Just like D handles free charges in electrostatics, H is the magnetic field due to free currents — saving us from infinite microscopic madness!
In the previous chapter we learned about the displacement field D, and this concept is similar to that.
Looking at it microscopically is just way too complicated (almost impossible)
Looking at it microscopically means that polarization occurs due to an external electric field, a new electric field is created by that polarization,
that new electric field changes the polarization again, and another new electric field arises, and because of that the polarization changes again..(infinite repetition)
that’s what it means.
So the main point was ’let’s look at it macroscopically'.
The magnetic field mechanism is similar, so with the same logic as ’let’s look at the D vector’, for magnetic fields we say ’let’s look at the H vector'
(D was the electric field due to free charges, right??? H means the magnetic field due to free currents.)
Let’s get started.
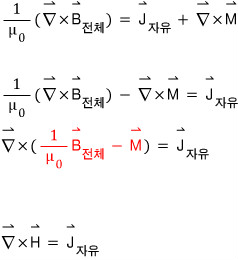
What we can consider as current inside a material can be called the bound current due to magnetization and the free current from everything else excluding that.

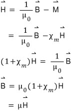
Taking this identity and playing around with the relations we learned earlier


The red part is defined as the auxiliary field H.
Hmm, for a paramagnetic material, it’s saying we subtract the effect of M from B,
and for a diamagnetic material, it’d be the oppositeee~
As always,
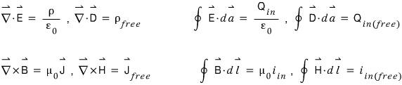
if we compare with electrostatics,

Applying it to a problem will make it easier to understand, right??????????

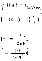
A free current i is uniformly spread through a copper rod of radius R. Find H inside and outside (copper is diamagnetic.)
“Ugh, why does the very first example have to be a diamagnetic material……-_-”

In a diamagnetic material, the direction of M created by B goes opposite to common sense.
(A very strange material where, if you bring an N pole close, the N pole gets closer and as a result it moves away)

It’d look like this, right???? The magnetic field due to the free current is like the blue line,
and the magnetic field due to M (from the tiny magnets created by magnetization) would form like the red, right??
Alright, so let’s not do the one from B and the one from M separately!!! All at once, bwak!!!
Now that we’ve learned H, let’s just look at H.
Since H is from the free current, it’s saying let’s not look at the effect of the bound current.

If we set the Ampère loop like that, the i(free) – free current – passing through the Ampère loop is????
Since i is uniformly spread out overall,

this much will pass through the Ampère loop~

Now getting B is easy too!!!!(just like in Chapter 4 it was easy to get D and then E)

In the region where M is defined, you plug M in and use the H you found.
What about outside where M is 0? You just plug 0 in for M ^^^ easy.
Now, earlier we found P and for a linear dielectric we derived the relation connecting D and E

like this hehe
Here, instead of dielectric,… we just call it a linear material (or linear medium).
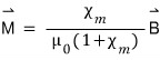
In a linear material, M has

this kind of relation.
Something feels opposite from above, right????? Just like we expressed P in terms of E, it seems like we should express M in terms of B….
This is just conventional, apparently.
If we were to express M in terms of B,

it comes out ugly like this, so I think they just wanted to express it cleanly….(that’s my guess..)

Anyway!!!! χm is called the magnetic susceptibility.
When χm is positive and large, due to an external magnetic field the magnetization density takes a large value in the same direction,
when χm is negative and small, due to an external magnetic field the magnetization density takes a small value in the opposite direction??? something like that kinda feel? hehe
In a word, it’s the characteristic characteristic characteristic of the material!
So in a linear medium
(only in a linear medium!!!! don’t fororforget forget forgetgetget that this is only in a special case)

mu-zero(1+chi_m) is just called mu, and it’s called the permeability ^^^
Now I should do a magnetostatics problem-solving post, but I’m thinking about just skipping it.
Because, lollollollollollollollollollollollollollollollollollollollollollollollollollollollollollollollollollollollollollollollollollollollollollollollollollollollollollol
my exam is already long over lollollollollollollollollollollollollollollollollollollollollollollollollollollollollollollollollollollollollollollollollollollollollollollollollollollollollollollollollollollollollollollollollollollollollollollollollollollollollollollollollollollollollollollollollollollollollollollollollollollollollollollollollollollollollollollollollollollollollollollollollollollollollollollollollollollollollollollollollollollollollollollollollollollollollollollollollollollollollollollollollollollollollollollollollollollollollollollollollollollollollollollollollollollollollollollollollollollollollollollollollollollollollollollollollollollollollollollollollollollollollollollollollollollollollollollollollollollollollollollollollollollollollollollollollollollollollollollollollollollollollollollollollollollollollollollollollollollollollollollollollollollollollollollollollollollollollollollollollollollollollollollollollollollollollollollollollollollollollollollollollollollollollollollollollollollollollollollollollollollollollollollollollollollollollollollollollollollollollollollollollollollollollollollollollollollollollollollollollollollollollollollollollollollollollollollollollollollollollollollollollollollollollollollollollollollollollollollollollollollollollollollollollollollollollollollollollollollollollollollollollollollollollollollollollollollollollollollollollollollollollollollollollollollollollollollollollollollollollollollollollollollollollollollollollollollollollollollollollollollollollollollollollollollollollollollollollollollollollollollollollollollollollollollollollollollollollollollollollollollollol
T_T T_T T_T T_T T_T T_T T_T T_T T_T T_T T_T T_T if I’m ever bored while studying I’ll post the practice problems I worked on from time to time if I can hehe
(I have the originals, but actually turning this into a post is no easy thing T_T T_T T_T T_T T_T T_T T_T T_T T_T T_T T_T T_T)
Originally written in Korean on my Naver blog (2014-12). Translated to English for gdpark.blog.