Motional EMF
A casual walkthrough of how yanking a circuit through a magnetic field pushes charges around and why the rate of flux change is the key to EMF!
Earlier we learned that the sum of all the forces acting on unit charges is called the electromotive force (EMF).
EMF… simply put, just how many Volts the battery has
How that battery pushes charges around in wires!!
This time let’s see how unit charges get pushed around by magnetic fields!

The abcd rectangle is a region of magnetic field. A closed circuit is hanging there all janky like lol
In this state, if you yank~ that circuit along, the charges that had been evenly distributed on the wire all whoosh!! move together
and the ones on the top and bottom parts of the wire start being able to exert magnetic forces on each other.

The charges that were on the left side will get force in the ↑ direction and move

If we integrate this over the whole circuit it’ll become an EMF again~

The only part that survives in this integral is the guys on the far left, so

Actually that formula is something someone will have figured out through some experiment — that when the magnetic field through a circuit with no power source changes, current flows…
So they must have had the curiosity “huh?!?! The magnetic field is changing but why is current being generated??”
and thought “the EMF and the rate of change of magnetic flux surely must have some relation~~~!” right…?
Now back to the visible picture — when a person pulls the closed circuit at velocity v, if we write out the change in the flux passing through,

over that many seconds, the area of the closed circuit that passes through the magnetic field

changes by this much
Um, then the flux passing through is

so its amount of change

is

this much! it’ll be!!
Since what we’re looking at right now is the rate of change of flux, let’s divide each of those equations above by delta t!!!!!

Should we finish the formula like this???
Not yet

it should be said like this!!!
Above, when we were looking at the magnitude of the change, we weren’t looking at the direction of the change.
So it’s a bit confusing, but at the end I adjusted it to include the direction too lol
Let me also solve problem 7.7 lolol
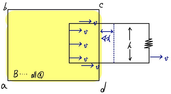
Prob 7.7 As shown in the figure, a metal bar of mass m slides frictionlessly across a wire track of spacing l (ell).
The two ends of the wire have resistance R,
and magnetic field B pointing into the page is spread uniformly everywhere.

a) When the bar moves to the right with speed v, find the magnitude and direction of the current passing through the resistor.
b) Find the magnitude of the magnetic force on the bar.
c) If at time t=0 the bar is launched with speed v-zero and then left alone, find the speed of the bar at time t.

ugh!!!!!
Let me start with a)
a) When the bar moves to the right with speed v, find the magnitude and direction of the current passing through the resistor.
Before, the whole wire was moving, now only part of the wire moves ??? you might think.
OK, as the bar moves, the charges on the bar move to the right at speed v.
The unit charges will feel force v x B !!!!!
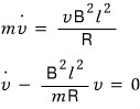
If we take a line integral over the closed circuit


The direction of the current will flow downward!!
b) Find the magnitude of the magnetic force on the bar.
We did this before — a wire carrying current I, in a magnetic field B, feels

Putting in the I we found

c) If at time t=0 the bar is launched with speed v-zero and then left alone, find the speed of the bar at time t
What this is saying is — when you kick it like BAM!!!!, it gets a strong!!! push and moves with speed v
then because of that v, current I flows, and the current-carrying wire feels

this force, right~~ (same as above)
So let’s solve the first-order differential equation the way we learned in mathematical physics class. (the method of making an integrating factor and multiplying)

This is the entirety of the force the wire feels right now. So if we flesh out and set up the equation of motion

make it like this! lol then!!!!

Then initially the kinetic energy

with speed

was that, and then it becomes 0
so the energy just vanishes away~~~… huh?!?~? where did it go?
Let’s look at resistor R.
Power dissipated VI = I^2R, so
but I depends on time I! Then the dissipated power P also depends on time t

Therefore

Conclusion!!!!!!!
All the energy consumption went to R and was dissipated there~
Example 7.5 A long cylindrical magnet of length L and radius a has magnetization density M uniformly spread parallel to its axis.
It passes at constant speed v through a circular wire loop whose radius is slightly larger.
Draw the EMF induced in the loop as a function of time.

“A long cylindrical magnet of length L and radius a has magnetization density M uniformly spread parallel to its axis.
It passes at constant speed v through a circular wire loop whose radius is slightly larger.
Draw the EMF induced in the loop as a function of time.”
whoa lol they make problems like this?lol First, since magnetization density M shows up, I

tried writing this out.
(Ah, I’ll skip the vector notation from now on… too annoying… I’ll draw the vector arrows when I need to emphasize that something is a vector…. lol of course what’s a vector… is just a vector….lol)
If magnetization density M is in that whatever direction, then inside there’s no bound current flowing,
and on the outer surface, in the tangential direction,

this way

is flowing, so..

this kind of picture!!!

Now if we set up an Ampère loop like this

using the formula

The magnitude of the magnetic field becomes that, and if we include the direction too, it’s this way ← lol
Now I want to draw Φ as a graph against time lol!!!
Easy right

The reason the maximum of the flux phi is mu-zero-M-pi-a-squared
is just,…. easy…. skipping. (Because anywhere inside the coil B = mu-zero-M?!)
Now let’s draw the EMF graph with respect to time!!!!

Not hard right??!!!
The direction in which this generates EMF is to bring things back to the original state… (you’ve heard of this, right?!?)
When the magnetic field ← is generated in the loop
the wire loop says “hey no, piss off”
And in order to cancel it out, it generates magnetic field → in this direction….lol lol
“Nature hates change.”
<fun fun. In chemistry this property of nature seems to be represented by Le Chatelier’s principle?~~?~~~~~>
Originally written in Korean on my Naver blog (2015-07). Translated to English for gdpark.blog.