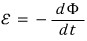
Faraday's Law — Induced Electric Field
Using Stokes' theorem to connect changing magnetic flux and the electric field, we derive ∇×E = −∂B/∂t and apply it to a worked example!
Previously

from this perspective, we saw that when the magnetic field B changes, an EMF is generated!!!hehe So
now we can connect the magnetic flux Φ and the electric field E! (This is so we can see the relationship between E and B)

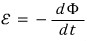
we’ll use this

and this,

this one too!!!
Then

the left and right sides have different integrals..
The left side integrates over a closed curve, and the right side integrates over the area within that curve, so
oho!!! Stokes’ theorem comes to mind. Let’s use it to match up the integration regions!!

Since the integration areas are the same, by the logic that the integrands must be equal

Whoa!!!!!! what is this!!!!!!~
The curl of the electric field was zero!?!?!?!?
That was in electrostatics………..now it’s No electro-static…hehehehehehehe
So compared to before, it’s been ‘generalized’ one step further!!!
Anyway, the important point is!!! regardless of the cause, when the magnetic field B changes, an electric field is generated!!!!
(The direction is along the curl direction, um~~~ a rotating direction??? If this doesn’t make sense, I’ll try to prepare a post about curl!!)
So now with this logic!!!!!let’s solve a problem…
I think that’s all for the concepts……we’ll look at how to apply it to problems~~ stuff like that


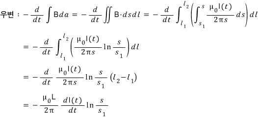
Looking at this, I’ll work backwards.
B(t) exists at every point in that black region.
And B(t) changes with time.
That means

interpreting it this way,
“Since B(t) changes at each point, ∇xE does exist” but since B(t) is the same~~ at every point,
the value of ∇xE at each point must be the same!!!

↓

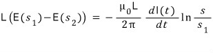
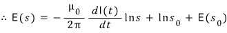
So continuing the above equation and writing out the cut-off part,


The magnitude of the electric field is this,
and the direction would be the tangential direction~~~~~hehe

Current flows, and B is generated around it, right.
Now, if that I changes, the B generated around it also changes~~~
If B changes at some point, an induced electric field will be generated around it.
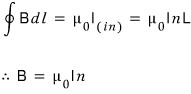
This problem seems to be asking to calculate that induced electric field. heh First, as a review, let’s find B using an Ampère loop!!! hehehe



B(t) was easy to find as expected.
Now we need to swap out the closed curve.
Because if current I passes through inside the closed curve, it gets in the way of finding the induced electric field we want.
On top of that, B(t) is a function of s, and it’s not defined when s=0, so I moved it!!!

As for why it has to be that kind of rectangle, B(t) represents the magnetic field at each single point.
So to make it something like a set of points with the same s, I placed that rectangle.
Alright then, let’s calculate the induced electric field.

So the left side is

The right side — for starters, the direction of B and the direction of da are the same

So then


Doone!

If we steadily increase the current in this coil at a constant rate of change with time,
how much current flows in the loop, and in which direction through the resistor?

As another review, let’s find the magnetic field inside the solenoid.
Setting up the Ampère loop like that and calculating B,

easy as always hehehehe
Now what we’re curious about is the “current” that arises inside there. (Not the induced electric field inside the solenoid.)

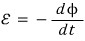
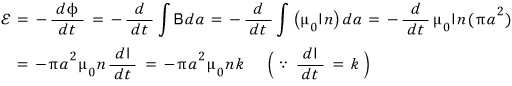
we need to use this

The magnitude of the EMF is calculated like that!
Let’s find I!!

Yesss!!
The direction is whichever direction cancels out the suddenly-appeared magnetic field, so from R’s point of view, from back to front!! (the red arrow!)
Yo~~~
Originally written in Korean on my Naver blog (2015-07). Translated to English for gdpark.blog.