Inductance
We finally dive into inductance — kicking things off with mutual inductance, Biot-Savart, and even pulling in the vector potential to tie it all together!
Doosan Encyclopedia —
Inductance:
A quantity representing the ratio of the back-EMF generated by electromagnetic induction due to changes in the current flowing through a circuit, with the unit H (Henry).
It is divided into self-inductance and mutual inductance depending on the cause of the magnetic flux change.
It’s the same as what we’ve done so far, and I think now is the stage right before we properly bring coils into circuits.
And since we did Faraday’s law hehehe it’s about time to tackle inductance~!
So let’s start with mutual inductance (since it’s similar to problems we did before)

If there’s just a wire sitting above loop 1 like that,
due to the magnetic flux created by I1 of loop 1,
a flux passes through loop 2.


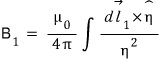
The magnetic field B at the red dot can be calculated like that using the Biot-Savart law

So the sum of B at all the points~~ on loop 2 is the flux passing through loop 2


I’ll yank it out of the brackets whoosh!!!!

So this red part here!!! as a proportionality constant is called “mutual inductance”.
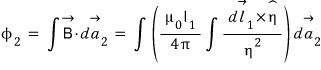
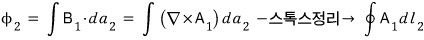
By the way, do you remember the “vector potential” we did before? I’m gonna bring that out and use it!!!

If I bring this in and use it!!!!

<According to the content in chapter 4 earlier, the vector potential at a point a relative-r away from a dl where current flows is>

If I apply this equation to the one above too,

You can also view mutual inductance like the above.
As you can see, mutual inductance has nothing to do with the magnitude of currents like I1, I2,
and things like the length and shape of the wires, the position of the two wires, etc. are what determine its value
And accordingly (geometrically) the flux gets determined……… heh heh you got the feel right?
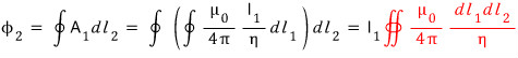
This is called the “Neumann formula”. But apparently it’s not that useful?? hehe huh?? hehe
Alright, and while writing out that equation I caught on to something — what if a current equal in magnitude to the I1 from just now flows through loop 2??
The mutual inductance values between them would be the same, right?

Like this??
Alright so now, let’s gentlygently change the current flowing through loop 1.
The magnetic flux would also change gentlygently, right??
So first, because current flows in loop 1, the amount of flux passing through loop 2 is

Now at last a current flows in loop 2 too!!
Once a current is created in loop 2, a magnetic field is created by it and again affects loop 1.
And to create yet another magnetic field in the direction that blocks that field, an EMF is created again!!
How much EMF will be created?!?!?
In other words, how much magnetic flux does it need to create!?!?!
If the rate of change of the I it’s flowing is big, it’ll have to create a big EMF.

The proportionality constant L here is exactly what self-inductance is!!!!
(You probably just just-just-just-just’d through this when dealing with circuits, right? hehehe hehe now you know what it means)
Hmm and for this posting I’m going to upload the PPT I used when I did a presentation on RL circuits during the semester hehehehe
I hope it helps.
(While preparing on this RL circuit, I looked at this part of the study a lot hehehe so I think it’ll probably help you understand… hehe)
Originally written in Korean on my Naver blog (2015-07). Translated to English for gdpark.blog.