Maxwell's Equations
We review all the basic relations we've built up so far — curl E, div B, D, H, and all that — and finally head toward Maxwell's equations~~
Up to this point in electrodynamics, we did Ohm’s law and stuff like that~~~ and so on and so on~~
And then we finally learned Faraday’s law~~ and so on and so on~~~
The reason we did all the stuff we’ve been doing up to now, in my opinion,

was to establish this~~~ I think
The reason we establish this is because!
Now we’re heading toward Maxwell’s equations!!
Alright, let me rewrite the basic relations we’ve derived so far in order. (Review)








Alright now,

here we need to peel off the words “In electrostatics” and fix curl of E
To go to the general general case
As I said before, Uncle Faraday fixed it.

Like sooo!!!
By this point — when Uncle Maxwell was a kid — electromagnetism had progressed this far!
But actually, supposedly there was a serious contradiction in electromagnetism that everyone~~~~ knew about!!
Namely

a contradiction here!!!!
Alright, let’s see what the contradiction was
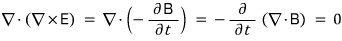
The divergence of a curl is zero, you know?!?!
First, looking at the divergence of the curl of E, which has no contradiction!!!

Yep. This guy’s not a contradiction. The divergence of the curl is 0!
But.then.

Oh dear…..

is this always zero?! - Datsu no no no no no…… no no no ri no…. T_T
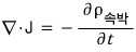
Since we dealt with steady currents in magnetostatics,
it was zero back then, but

doesn’t necessarily have to be zero, right?!
This was the contradiction T_T
Ugh…..then that equation works perfectly for steady currents,………
isn’t there a way to make it work for steady currents while also covering the non-steady-current cases….
While this was going on
little Maxwell had grown up into a lil’-ol’-uncle somewhere along the way!!
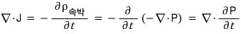
And it seems a lightbulb went off in lil’-ol’-uncle’s head!!! hehe
Alright alright alright alright, once more

“For steady currents this disappears,,, but for non-steady currents let’s add a term that appears!”

Huh?!?!?!?!?
No no no, hold on a sec-y
By the continuity equation


So let’s plug that red current density J in there as a derivative form of the electric field!!

Like so!!!!!
<Now another reason this is beautiful is that,,,, it’s ‘symmetric’!!!!!! Symmetric in what way>
Faraday says: “A change in the magnetic field creates an electric field!!!!”
Symmetric to this,
Maxwell says: “Yep yep that’s right! And a change in the electric field also creates a magnetic field”
Hmm, so that red current density that Maxwell tacked on,

is
displacement current (

displacement current) — let’s gradually find out what this name means as we go!!!!!
Alright, now we can finally write down the long-awaited Maxwell’s Equations!

Okay!!! These are Maxwell’s equations that represent every general situation!!
Alright now,,, in the same vein as before, if we describe the special cases!!
The first special case!!
“Sooo~~~~~~~~~~mpletely empty space (just a place where charge=0, current=0)”

if you plug this into the Maxwell equations above!!

Just done!!! Easy!
Maxwell’s Eq. in free space.
Oho, then now the second special case!!!
“Inside matter!!!!!”
Here we need to think a bit more….
First,

Since we’re looking at things inside matter, we lay this down as the base, and what we need to think about is
since we’ve broken away from electrostatics and magnetostatics,
namely

and

are not invariant with respect to time.!!
Let’s think back to when we studied polarization density.
Like, we have to consider that the magnitudes of the σ and -σ induced on each side change with respect to time!!
In other words, this means P changes
(

let’s not think about this!!! Since there’s a possibility it might not be linear material, we’ll only think about those relations above!)
Then~~~ by the continuity equation

it’s this~~~~
But since right now we’re talking about bound charge

But, since we said bound charge is


Therefore, to emphasize that this is current due to polarization, if we slap a fancy subscript on it

In electrostatics and magnetostatics there was nothing about the changes in ρ and J, but starting from here, since we account for them,
the first thing — when ρ changes, by the continuity equation a J arises, and that arising J can be tied to P!
In other words, what I want to say: “As P changes, a current

arises!!!!!!”
(

is called polarization current!)
Also, the book’s explanation helps with intuition

The difference between these two is whether polarization is large or not, and that comes down to how much charge has been polarized to the top and bottom,
“the situation as it changes from the left situation to the right situation” — at that moment, the negative charges go further down, the positive charges go further up!!! => a current arose
H-hey!?!?!?!? Hold on a sec, a change in P leads to the creation of a J,
so isn’t there something newly arising due to a change in M too?!
====»»> “Nope, there isn’t, apparently hehe”

Now that we know it’s like this,

we can break it down into 3 categories

We can say it like this.
In order,
J = (due to all other factors) + (due to M) + (due to P)
Like this!! lololololol
Alright then


Continuing on

Hey!!?!?!?!?!? That red part there!? It’s D!!!

That’s it for now
And

There again!!!

Niceee~~~
Alright, and from here I think I get why what Maxwell appended when he fixed the 4th equation
came to be called “displacement current”.

Since it’s related to this term, I guess that’s why it’s called “displacement” current lol
Above we classified J into those 3 categories,
so then how do we classify ρ..?!
First, isn’t there a newly arising rho?!?!?!?!
Nope nope, there isn’t >_<
So

Yes yes yes!!!
We can write down all of Maxwell’s equations inside matter!

Aah~~~ but here too,
if you plug in M=0, P=0, it reduces back to the general Maxwell equations,,, that’s easy to catch on to!
Originally written in Korean on my Naver blog (2015-07). Translated to English for gdpark.blog.