The Poynting Vector
We're uncovering the Poynting vector — a quick dive into electromagnetic field energy and conservation laws before jumping into electromagnetic waves!
This time’s goal is to uncover the Poynting vector!!!
A vector derived by the British physicist J.H. Poynting that represents the energy flow of the electromagnetic field.
Derived by the British physicist J.H. Poynting (1852–1914). In vacuum, between the magnetic flux density B and the electric field E, if we denote the vacuum permittivity and permeability as ε0, μ0 respectively, and time as t, the following Maxwell’s equations hold.
It’s something like this~ um,, next after this
it’s momentum, angular momentum, and the Maxwell stress tensor!!!! I’ll skip them and move on heh
If you follow along with the book that part won’t be hard
The Maxwell stress tensor is hard to understand just from the book,
but if you look at the part I organized in the appendix, it’ll be easier to understand mathematically.
So, let’s uncover the Poynting vector here!!!! And from the next post onward it’ll be the long-awaited ’electromagnetic waves'!
Yes so this post is going right into the Poynting vector
Just simply, a story about energy~~~ It’s not hard!
Since the Poynting vector is used a lot in electromagnetic waves, I think we need to know its definition accurately.
Why is the title of Chapter 8 “Conservation Laws” ?
First, to match the title, let’s account for all the energy in space!!
Accounting for the energy that exists in the form of electric and magnetic fields,
- The energy required to bring charges one
byone~ into some space
= Total electric energy in the space

- The energy required to make current flow in some space
= Total magnetic energy in the space

(For why these are what they are, please look at My Electromagnetism Study Ⅰ >< http://gdpresent.blog.me/220181066120)

Electric potential (Part 2) [ My Electromagnetism Study #4 ]
This time, into a space with n~~~~othing in it, I’ll bring in charges one by one, from q1 up to qn. Moving that…
gdpresent.blog.me
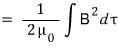
Therefore the total energy stored as electromagnetic field energy in the space is

L~~~ong ago I think that was introduced with the intention of using it at this moment,
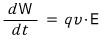
I’ll pull it out in a different way. with the work-energy theorem
Originally ‘work’ is adding F along the l direction ju~~~~st like that!?!?!?right?!?!heh

(I just now noticed that cursive ell (l) is in the equation editor……hehehe)
Then F here will be the force due to the electric and magnetic fields,

if dl is expressed as the distance the charges travel during time dt,

Therefore


What if the charge distribution is continuous???? Let’s extend it that way

we can just use this relation. Then,

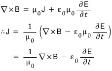
argh J suddenly shows up-.-
Using Maxwell’s Eq let’s express J in terms of E and B

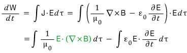
Then the equation above becomes

It becomes like this, and I’m going to pull a little trick to express that green part a bit differently lolololol

Substitute gogogogogogo

Into the purple, let’s plug in a Maxwell equation~
Plugging it in

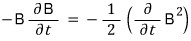
A symmetric term ends up showing up
The two are too far apart, so they’re both about to cry.. okok
I’ll let the two of them hug each other

Now if you think about pinky and red just a li~~~ttle bit

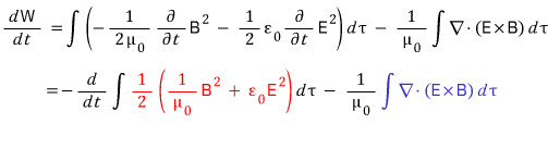
if you change it and express it like this!!!

oh my~~~ how do you do, Mr. red~~~ aren’t you the total electromagnetic field energy stored in the space!?!?
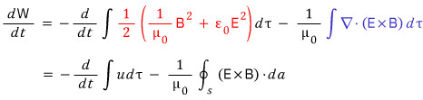
Let’s call the energy stored as electromagnetic field u
and the blue guy over there let’s express with a surface integral using the divergence theorem.

What does this mean right now
At the very beginning, q being acted on by the electromagnetic force, integrated over dl — that we called ‘work’, right
When that work is being received!!!!!

at that moment the energy that had been stored as the electromagnetic field in that space disappears

But~ apparently through that surface “some vector

" is leaking out.
So, just like we alway~~~~s did,

just like we did with these, we’ll newly define this some-vector too!

This vector is called the Poynting vector,
and what S means is “Energy flux density”
um this guy is “the energy carried on the field that passes through a unit area per unit time” — that’s exactly what the ‘Poynting vector’ means.
If you look at it in a space with n~~~othing in it (no charges either), I think you’ll probably get it.

Since there are no charges to do work on either, the red is Zero

Expressing it this way might make the meaning easier to accept.
The rate of change of disappearing energy = divergence of S (derivative of S with respect to space)
It’s harder to say in words….
In the book there’s also an additional explanation like this


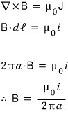
Ex. 8.1 When current flows along some wire, the electromagnetic force does work on the charges and the wire heats up — Joule heating occurs.
There’s an easier way to compute the energy delivered to the wire per unit time,
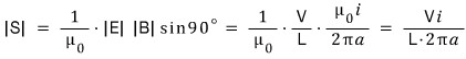
but you can also do it using the Poynting vector. If the wire’s material is uniform, the electric field parallel to the wire is

Since V=EL, E = V/L
How do we find B - I’ll use an Ampère loop.

So E is to the right, and B’s direction is out of the monitor,
and the direction of ExB would be toward the center of the wire
Let’s look at the magnitude of S.

Describing S’s direction as well,

Now the next post, as I said, will move on to electromagnetic waves!
Ah and also, while studying electromagnetic waves now, there’s something I heard about the Poynting vector.
Since this post is about the Poynting vector anyway, I’ll write it down here once, and I’ll also write it in later posts.
Professor: “Light goes from here to there…. what is that”
Student: “??????????????????????

?????????????????????”
Professor: “hehehehe well, shouldn’t you think of light propagating as the Poynting vector????????????????”
Me: “hehehehe is that so? hehehe I’ll switch majors bye bye bye”
Originally written in Korean on my Naver blog (2015-07). Translated to English for gdpark.blog.