Electromagnetic Waves — Wave Basics
Before diving into EM waves, let's nail down what a wave actually is — and derive the 1D wave equation from a taut rope using Newtonian mechanics!
Before thinking about electromagnetic waves… which you’ve probably heard a lot about… I think we first need to learn about what a “wave” is.
Hmm~~ apparently, to begin with, there isn’t a satisfying answer in this world to the question “what is a wave???”
Just that the essence of a wave is “the medium’s shaking spreading out at a constant speed while maintaining a constant shape”….
(Hmm… I don’t think there’s anything to refute about that statement, nothing to nitpick…? But doesn’t light have no medium?)
For now let’s not think too deeply and just keep following the book..
Well anyway, it’ll be time to mathematically model that statement, which is basically like an axiom.
Let’s try deriving the 1D wave equation once!!!
First, the essence of a wave is, as said above,
““the ‘medium’ shakes shakes~ but stays constant!”” That’s what we’ll take.
Let me flick!!!! a taut! taut! rope with my hand.
Then the rope will undoubtedly do wave motion, and doing that wave motion with Newtonian mechanics will be our first task.

Let’s zoom in like crazy and look at!!! that spot, and at that moment snap!!!! a photo
(Taking a photo is a metaphor for fixing the time variable t.)

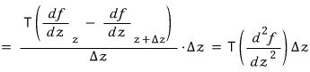
The force that a freakin’ tiny piece of rope receives is clearly all tension,
so the Net Force in the vertical direction (y-axis direction) becomes the source of the acceleration of the shaking up and down of the medium (rope).
That net force is

Theta-prime and theta are strictly different, and given enough time we could show this net force is a wave equation,
but our goal right now isn’t that, it’s to derive the string wave with Newtonian mechanics using a somewhat easy model,
and since for that easy Model we said a taut! taut! rope,

we’ll assume this.
When theta is freaking small,

it can be approximated like this
(Anyone who doubts it can plot the Taylor expansion in Matlab or whateverr hahaha)
Then

The reason I bothered to switch to tangent and write it like this is,
what you can do by switching to this form is,
tangent theta is the ‘slope’, and since it’s a freakin’ tiny point,
viewing tangent theta as the “(instantaneous) slope”

I suddenly introduced a variable… T_T
Like in the book, let me set the horizontal below as the z-axis and the height of the medium as f
Alright now I’m going to multiply that equation by 1
But not just any 1, a kind of grandiose 1 hehehehe (not really grandiose)

Alright and now the shenanigans begin!!!!

If anyone doesn’t get that the middle term is the second derivative with respect to z, they should go back and look at high school calculus hehehehe
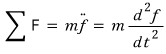
Alrightalrightalrightalrightalrightalrightalrightalrightalright but we were looking at the net force (Net Force), right??? And Uncle Newton
said ‘force’ is ma, right
Then that exact same net force could also be viewed like this.

Oh my god!!!!! Viewed this way, we can also see it with respect to time~~
Alright, but up there there’s something to fix, lolololol — m is a letter that’s often used for total mass,,, so I’ll fix it!
Why?!?!? Because we’re looking at only a super freakin’ tiny part,
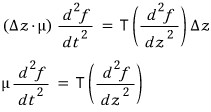
if we call the mass (unit mass) at Δz as μ, we can now write the equation like this

Now it’s time to hear something a little chest-tightening
The book says this T_T
“As you’ll soon find out

.”
Let’s be patient just a bit!! For now!!!!! Apparently that’s how it is….
Argh,,,, it feels really chest-stuffy,,,, T_T let’s be patient ….T_T
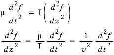
So the equation we organized above can be written like this.

Aha, but now rather than expressing it with total derivatives, I should express it with partial derivatives hehehe

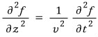
<(classical) wave equation>
Oh ho, this gives a slightly similar feel to the Schrödinger equation for probability waves that I know, but it’s also different
So apparently, the wave equation derived from classical-mechanics F=ma like this is called the ‘classical’ wave equation
Alright anyway, ‘our goal right now’ that I kept mentioning earlier seems to have been accomplished
To organize again
When there’s a wave, if you look at just one piece of the medium~
you can see that the height of the medium (f) differentiated twice with respect to position (z), and differentiated twice with respect to time t, are related!
And in between them, the reciprocal of the (wave) speed squared is tied in!
A wave is that kind of thing~~~~ — the purpose was to catch on to that.
Alright so we’ve learned that the wave equation is a solution to that kind of 2nd-order differential equation.
The reason we bothered using Newtonian mechanics is,
as said before, it was to see once that a wave has such-and-such relations,
So now let’s look at the Sine wave, which we know well (and have seen a lot empirically in real life)
(Also, the reason sine waves are important… if I write it out again, according to Fourier’s theorem,
no matter how crappy a wave is in the world, it can be represented as a linear combination of sine waves~~~~~ (‘Fourier series’)…. because of that)
Of course here too we’re thinking about looking at the position of the medium
First, a wave depends on time t and also on position z. If we express it with independent variables,
we can write f(z,t), and for now let’s think in 1D for simplicity.
There’s a wave traveling with speed v, and our eye is fixed!~ at some point called z,
and at that time~~! if the time was t, ================> f(z,t)
But this would have been “the position of the medium at position z-vt, t seconds ago”============> f(z-vt,0).
Supplementary explanation with a picture


As the book also mentions, what did this trick do, it tells us that
we combined the two variables z,t into a single variable “z-vt”.
(The cool thing is if you look at the units of z-vt it’s [m]… yep, distance)
Alright so we’re now thinking about the sine wave that we consider most fundamental,
and the variable of the wave function is ‘z-vt’ apparently
Oh ho, a sine function with variable z-vt!?!?
This is a piece of cake!!!!

(While throwing a whole fit saying it’s a sine wave~~ why am I writing cosine~~ the reason will be revealed in a bit)
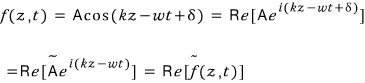
Oh ho but!!!!! by including some constants that can be determined by initial conditions, let’s try to represent every sine wave in the world!

By some initial conditions A,k,δ are determined, and what kind of initial condition determines each of the constants,
The constant A is the amplitude!!!!! This is just common sense — how hard you shook it~~ determines A
v is the wave’s speed
δ is the phase difference!!!!
(If I express it in words, I think the best way to say it is “at what time did you start looking” at the wave that’s flowing slowly~~)
Then k !!!!!!!! what is this!!!!!!!!
If we get rid of the phase difference and think about it

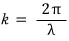
The meaning of k is: how many λ (wavelengths) are contained in 2π [meters].

Then the equation above is

The conclusion for a wave traveling to the right with speed v has come out! heh heh heh
Then as a Bonus, we can also know a wave traveling to the left with v
v just changes to -v.
Nice.
We’ve figured out the equation that represents the waves we see in everyday life, or when we use simple models.

But… trigonometric functions,,,, nice, sure
But no matter how convenient trigonometric functions are, could they be more convenient than exponential functions????? Dettsu no-no
The reason I’m saying this is that trigonometric functions and exponential functions are basically the same thing,,,,
so wouldn’t it be better to switch to an exponential function that’s easier to handle and play with the equation?
The above

this

can we write it like this???
Probably not~?

if we expand this

an imaginary term gets attached like this
So

we’d have to write it like this~~~~~~
Just one more thing,,,, who wouldn’t know that delta is the phase difference…
Probably in electrical engineering? Electronic engineering? In those fields

they write it like this,

they’d probably express it like this???(not really sure though,,, hehe??)
I’m in the physics department~~ we’ll write it like this!!!!
We’ll

write it like this, so the equation above is

Like this!!
«Tilde and No-tilde are confusing,,,
just think of it as “the phase difference will be considered later~”. Because the wave’s identity is all inside the exponential»
So then our equation

let’s use this to look at incidence, reflection, polarization — things you learn in physics 1!!!
(I’ll do it with electromagnetic waves later, but before doing that it’s just… practice!)
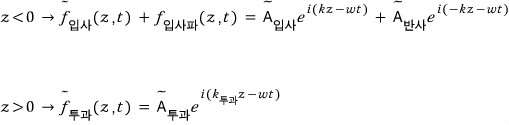
Alright now if we look at the incident wave and the transmitted wave, at the boundary of the media the tension T is the same,
but the unit mass μ of the two media is different, so the speed v changes!!!!
(However, the frequency of the wave is the same regardless of whether the medium changes or not.)
(Why is the frequency of the wave constant??!?! — the content is kind of obvious, but to explain it with a picture)

↓

↓

↓
A wave given with a frequency of ding-ding-ding! like that will keep going as ding-ding-ding!
But if you say that at the point where the medium changes, suddenly ding-ding-ding turns into diri-diri-di-ro-ro-ro-rong,,,, well,,,,,T_T
So due to the change in medium, the speed of the wave changes.
If the speed of the wave changes, the wavelength λ will change! (since the frequency υ is fixed)
Since frequency being invariant means ω doesn’t change,,,,
Now I’ll write this as an equation.
Let me apply an incident wave (traveling to the right)

don’t write it like that,
let’s extend thinking into the imaginary domain. (for convenience of calculation)

At the boundary of some medium, the transmitted wave with the same frequency omega goes to the right,,, and the reflected wave will head to the left with omega unchanged.
And since tilde-A is related to energy, the tilde-A of the reflected wave and the transmitted wave will be different from the tilde-A of the incident wave
And the speed of the incident wave and the speed of the transmitted wave are different,
and if the speeds are different the wavelengths are different, and wavelengths being different means k is different.
Reflected wave heading left:

Transmitted wave heading right:

Let’s say z=0 is the boundary where the medium changes.
On the incident side (z<0), the superposition of the incident and reflected waves will keep happening,
and on the reflecting side (z>0), the transmitted waves will be proceeeeeeding along

Alright a question here….
“Guys, if you shoot a gun into water, what path does the bullet take….”

If it were to go along path ①, that means at the very moment!!!!! the bullet hits the water, the bullet would have to bend,,,,
To bend like that

?????????????????????????????????????????
???????????????????????????????????
?????????????????
QED, bullets go in a straight line, so hitting a diver is a tough job.
The reason I suddenly did a Marine Corps bit is actually because,
I wanted to say we should look at the boundary like the bullet proof!!!!!
At that very moment the medium changes, at that point

if this doesn’t hold
the logic becomes like the rope breaks, just as the bullet is cut,,,so we must satisfy this!!
Since we just plug in z=0,

This is really the end, but using the assumption “the derivative is also continuous”, let’s go a tiny bit further.
(If the weight difference between the two ropes isn’t too large, the derivative can also be continuous)


Now what I’m going to do is,
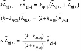
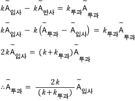
I’m going to substitute the first equation into the second equation. (in 2 different ways)


transmitted in terms of incident
reflected in terms of incident
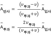
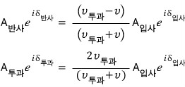
we’ve obtained these two relations,
And not only with k, we can also express them with speed v!

Using this relation, if we express the above two differently

Alright so from the equation above, let’s go to the real-real version with the tildes removed.
And what we’re going to do while we’re at it is
just… I’ll write it….
First

this

write it like this,
and draw a line zap!!!!!!!!!!!!!!! through the middle, and treat the north side as the numerator and the south side as the denominator.


Having organized it like this and looking~~ at it~~~
the right side is unmistakably a real number!!!
but looking~~ at the left side~~ real + imaginary!!! it’s a complex number!!
Ahem~~~~ for the equation to hold,,,
the left side has to be a real number!!! and there’s only one way to be real.

The red dude has to be 0, there’s no other way!!
That case is

That is!!!

①

in this case it’s positive

this will be it, and this is “when the transmission medium’s mass is smaller”
②

in this case it’s negative

this will be it, and this is “when the transmission medium’s mass is larger”
Aha!
So case ① is

and~
case ② is this way

so it’s like this~
which is what we learned in high school — fixed-end reflection flips the wave!!!! That’s exactly it.
Alright so in the next post it’ll be time to truly truly learn electromagnetic waves properly, right??T_TT_TT_T omg already trembling…….
Electromagnetic waves were really hard T_T..T_T Even though I’m reviewing this, I think it’ll be hard…..Ha…..
Originally written in Korean on my Naver blog (2015-07). Translated to English for gdpark.blog.