Electromagnetic Waves
We stumble through Maxwell's equations, take a random curl or two, and somehow end up deriving the wave equations for E and B — hehehe!
Up to the previous post, we went beyond the subject called physics and looked at what a “wave” is
and also what properties that wave has (incidence, reflection, transmission).
So now let’s come back to our subject, physics, and think about “electromagnetic waves.”
First, let’s imagine we’re an oooooold-time person too.
People back in the day knew what the electric field and the magnetic field each were,
but they probably didn’t know much about electromagnetic waves, right?? hehehe
And Mr. Maxwell is convinced he has established ’electromagnetic theory’ with Maxwell’s Equations — and that situation
is ‘right now’!!! Let’s proceed imagining that the moment we’re in is that kind of situation, hehehe
Little GD Park went to see Maxwell.
Me: “Mithter, Mithter!?!?!! What ith electromagnetithm?!?!?!?!?!!!”
The Mister, without even answering, tosses an equation at me…..
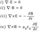
The Mister, probably thinking I was a beginner, tossed me the simplest Maxwell Eqs. in a space with no charge and no current…

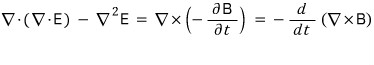
Sitting there, I thought it over carefully. And I take the curl once more on equations 3 and 4…….lololololololololololol
Why?lololololololol dunnoooo lolololololololol I just took the curl once more, okayyyy lolololololol


Ohhh so that means

Here we slam in Maxwell equation 4

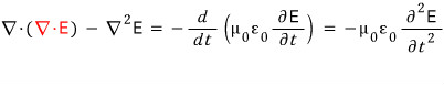
Ah, and the red thingy becomes zero by Maxwell’s 1st equation hehehe heeheehee

In the same way, if we take the curl once more on Maxwell’s equation 4,

it comes out like this
Alright and back to Mr. Maxwell,
“Hey Misterrr~~ before I came in here~~~~~”
“I learned that a wave is

this thingy~~~ is what I was taught~~~~”
If we think about it just a bit more, expanding that to 3D to describe it is

this, right?????
//“Yeah, and so what?^^”
But when I take the curl of (iii) and (iv) from the equations the Mister gave me =>

////

these equations pop out,,,,
what the…. are E and B waves???????????

if that holds,
then do E and B have a speed of that shape?????????
Then can we say they’re waves of that speed?…..hehe
Mr. Maxwell: “Kyaaah!!!!!!!!!!!!!!!OMG!!!!!!!!!!!!freakin’ wild, right?!?!?!?!?!?!?!??!?!!?”
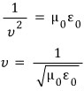
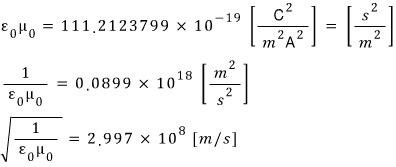
Shall we calculate 1 over the square root of the product of epsilon-zero and mu-zero just once?!?!?!?!??!?
<Reference.>
Permittivity in vacuum

Permeability in vacuum

calculating with these gives

Ohhh!!! Bam!!! That’s the speed of light!!!!
(Actually, it’s not that the speed of light is 300000000m/s and when you calculate that it gives 300000000m/s — that thing itself IS the speed of light…..hehehe)
Light?! is a kind of electromagnetic wave?!?! Or is an electromagnetic wave a kind of light?!?!! What is this hehehehehe hehhehhehhehhehhehhehhehhehhehheh
Alrightalrightalrightalrightalrightalrightalright
Mr. Maxwell is gone now….lolololololololololol
Hmm………………the role-play isn’t fun……………. I’ll just go with the normal version….hehehe
So now we’ll continue the discussion using a sine wave with frequency w.
And now we also have to distinguish plane waves from spherical waves.
When I first looked at this side, I was like “wait, why specifically plane waves??????”
and I think this is probably the reason.
One example of a so-called plane wave is the surface wave made when you hit water with a stick?????
And the spherical wave made when you poke water with your finger..
I think the big difference between these is this.

Direction of propagation!!!!! And one more thing!!!
When classifying according to the shape of the wavefront of a wave,
a wave whose wavefront propagates forming a line or a plane is called a plane wave,
and a wave whose wavefront propagates forming a circle or sphere is called a spherical wave.
But!!! The big difference is!!!! “Plane waves conserve energy!!!!”
(And I’ll say this too. If you zoom in super-super hugely on a spherical wave and look at only a small part, it’s a plane wave?!)
Alrightalrightalright so via Maxwell’s equations~~~ we saw that E and B satisfy the 3D (classical) wave equation,
and now, (carefully) thinking of E and B as ‘waves!’
it seems it’s now the order of fitting them into the wave-equation framework we learned earlier.
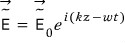
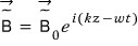
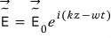
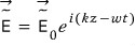
First, to make things easy-peasy, we’ll use as our tool a plane wave (energy-conserving plane wave) that is sinusoidal and propagates along the z-axis for E and B.
Ah, and rather than writing sin (or cos), I’ll extend it to complex numbers and describe that waviness by taking only the real part.
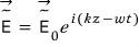
So E and B, as functions of z and t,


we can write them like this. (This part might feel a bit out of the blue, so I think you’ll need to refer to the previous posts.)
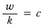
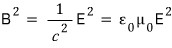
Since we’ve confirmed that the speed of the wave is the speed of light,

we throw in this relation too~~~
Okay, so we’ve described a wave propagating in the z-axis direction!!!!! (Including that it’s the electric and magnetic fields!)
Ohhoo~~ but we saw that the wave equation is established via Maxwell’s equations, and for that reason we expressed the wave,
but that thing is still just an E and B that depends on position z and time t (z-vt) as variables, so
the essence is still E and B!!!1 What I keep saying is that Maxwell’s equations still need to be satisfied.
That is,

this guy

has to satisfy this!!
Aha, now I get it.
I think I’m starting to get a bit of a feel for why we specifically assumed a plane wave earlier.
If we connect the wavefronts of a wave with planes to express it, the plane-wave plane is

a situation like this, which means “within a plane, the Es are all the same.
(Since it’s a plane wave, all points within the plane of the medium will be pointing in the same direction.)”
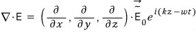
Alright, let me write that curl E = 0 as an equation.

Looking at this equation, it looks hard………………..
But!!! keeping in mind ’this is a plane wave’ and thinking about it,
E’s partial derivative with respect to x, and with respect to y, are ‘obviously 0!!!!! (The reason is because it’s a plane wave)
Why~~~~ are those partial derivatives 0~~~
Alright, at some one instant, snap!!! let’s take a picture and look at the plane wave from the front.

The very meaning of ‘plane wave’ is that when you connect the things at the same-height wavefront, it forms a straight line or plane,
so if we take a picture and look from straight ahead, it’s only natural that it would be drawn like this.
Then inside that photo~~
the vector change for a tiiiiny change in the x-direction, the vector change for a tiiiiny change in the y-direction
would be 0.
Writing exactly that as an equation,

///////////////////

huh h?hhh?done?…hehe
uhh~~~~~~~~ then the fact that that sum is 0, is saying
that

and what that means is that “the oscillation in the z-axis direction (direction of propagation)” is ‘constant with respect to time’,,,,
Alright~~~ let me say this like this
when it’s constant, if we tweeeeak the direction of propagation juuust right,
it means there will be something whose component along that direction of propagation is 0.
ahaaa

And this is exactly the same for the magnetic field B!!!
OK, what this lets us confirm is
an electromagnetic wave is a ’transverse wave’,
it does not oscillate in the direction of propagation!!!
(Once again, this is a result we found via Maxwell’s equations. That is, we could also call this the essence of the electromagnetic wave.)
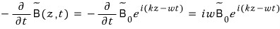
Before, we used the divergence of E!
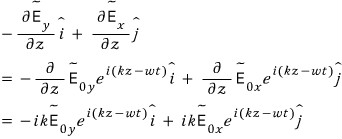
This time, we’ll use the curl of E to see what kind of info we can squeeze out.

First, calculating the left-hand side,

The blue ones have no amplitude so they’re 0
The red one has a partial derivative of 0, so it’s 0

With that, we’ve finished computing the left-hand side.
Now let’s look at the right-hand side.

So, setting up the equation LHS = RHS,
we can write it as an equation in i and an equation in j.
(I’ll cancel the imaginary i and the exponential-part-and-below and write the result.)

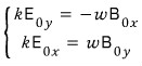
What those two relations mean, we can also express as a single equation like this.

Now, on top of the earlier conclusion, we can draw a new conclusion…
Ahaaa!!!!!
The electric-field wave and the magnetic-field wave are both each transverse waves,
their phase difference is 0, and they form a 90-degree angle with each other!
hehhehhehhehhehhehhehhehhehhehhehhehheh
Alright, so we’ve learned how an electromagnetic wave propagates!
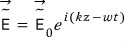
And an electromagnetic wave E propagating in the z-direction can be written as the equation

up to this point we’ve learned.
So now let’s generalize the direction of propagation just a bit more.
So that we can describe any wave propagating in any direction.
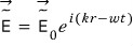
“Instead of along the z-axis, now it’s along the r direction~~~~” and so on..
Alright, from that equation earlier,

in this,
if we just change z to r,

obviously that won’t work hehehehe
So how do we get through this difficulty now,
introducing the vector right here

(wave vector) can be the key.
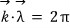
From now on, it means the wavelength λ also has to be seen as a vector!!!

The definition goes like this. (Actually calling it a definition is a bit weird too,,,, it’s just sort of… obvious?hehe)
Alright, now let’s slowly start the modification.
Looking at the previous equation for an electromagnetic wave propagating along the z-axis,

is what we have,
and we’re trying to change z to r, but z was a scalar.
But r has no fixed direction, so I think it’s more proper to change z not to just r but to vector r.
Alright, so the point is, let’s turn what was k·z into k·r.

Then the complex amplitude doesn’t need to be a vector anymore.

So I introduced a direction vector n-hat because we need something to indicate the direction,
and I think we can say n-hat’s direction is 90 degrees from vector r. (Simply put, the direction of oscillation.)
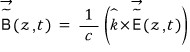
Then how do we write the magnetic field?!!
It has no phase difference with the electric field, and it’s at 90 degrees from that guy’s oscillation direction~~ so we can just say

It looks like the important stuff is over.
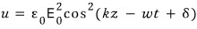
Now let’s turn our perspective to energy for a bit.
In what we did before (electrostatics), dragging charges in one by one, and in magnetostatics dragging in current density J one by one,
we answered the question “What is the energy stored in space in the form of E and B?!???”

we said, like that.
Alright, and viewed as a wave,
since we’re looking at the square, it means we only have to look at the complex amplitude!!!:)
Among those complex amplitudes (squared), the relation was

that’s what it was.
Now plugging this into the energy-relation equation up there,
the conclusion we get is: “The energy of the electric field and the magnetic field are equal.” We can say that,
and also, for the question “How much energy gets carried along as it propagates as a wave~~~~~?”, we can now answer that too!!
Because earlier we learned about the Poynting vector.
We say it like this

this much is what goes~~~
Ah,,, but it’s weird…hehe
Since it’s going out as a wave, saying it like that doesn’t clearly express how much is going out,
so we give a precise yardstick of “during some period of time~~~”
and saying “during that time~~~ this much goes~~~~” feels like it would be a more accurate answer
(The energy of X coming in within 1 second vs. coming in within 10 minutes is a whole different ball game, right?!?!?)
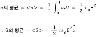
Alright, let’s think once. The Poynting vector S is
expressing “energy density u” comes at speed c “in some direction.” (taking that as the z-direction)
writing that as an equation,

it’s probably fine to say it like this

we can say (since the energy contained in E and in B is equal (coefficients included))
so

specifically, like this, OK OK
Alright, now what we’re going to do: we’re going to include that “during some period of time~~~~~” thing.
Sum all the energy over one period
and divide by that one period
Then we get the average !

since this is so,

Alright, finally let’s think of like this.
“Energy coming in (or going out) per unit time”
That is, energy/time: Power!
Apparently this is called Intensity (I)!!
(It makes sense intuitively, so I’ll just take it as-is. “Ah, the power of wave energy is called intensity!“hehe)
hehhehhehhehhehhehhehhehhehhehhehhehheh
Finished with electromagnetic waves in vacuum………. haa……..T_TT_TT_T
N o w, next up,,,,,,,,,man………..T_TT_TT_TT_TT_TT_TT_TT_TT_TT_T
T_TT_TT_TT_TT_TT_TT_TT_TT_TT_TT_TT_TT_TT_TT_TT_TT_TT_TT_TT_TT_TT_TT_TT_TT_TT_TT_T
Electromagnetic waves inside matter……..T_TT_TT_TT_TT_TT_TT_TT_TT_TT_TT_TT_TT_T
Fighting, everyone.
Originally written in Korean on my Naver blog (2015-08). Translated to English for gdpark.blog.