Electromagnetic Waves in Matter
EM waves in a linear medium work out basically the same as in vacuum — just swap ε₀μ₀ for εμ, and that's literally how the index of refraction n pops out!
Earlier we looked at empty space,,, when there’s no charge and no current
Now !!!! there’s still no charge and no current, but let’s look at the situation where an electromagnetic wave travels inside “some medium” that isn’t vacuum
But not just any arbitrary material — since we’re beginners~~~~
we’ll assume it’s a “linear medium!!!!!!” like we dealt with in electrostatics and magnetostatics!
That way… it’ll work out, I guess lol
Nonlinear stuff lol I don’t think I could do it even if I spent my whole life on it
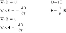
Anyway, when ρ=0, J=0, Maxwell’s equations in a linear medium are hehe, based on what we learned earlier,

This is how we learned it~~~~ but I’m just going to write the auxiliary field H and displacement field D in terms of E and B!!

(Actually, they say this is only possible under the added condition that epsilon and mu are constant throughout the space inside the linear medium, but…)
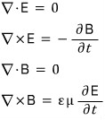
So now here’s what’s interesting — the difference from when we dealt with Maxwell’s equations in vacuum earlier!!!!
It looks like the only thing that changed is that epsilon-zero and mu-zero just got swapped out for epsilon and mu!!
Whoa!!!
That.means.
if we do the exact~~~~~ly the sa~~~~~~~me~~~~~~~ way as before
the conclusion we get is just the previous conclusion with the proportionality coefficients swapped like that
Ah, there’s something else that changes
The speed!!!!
The speed of the wave

This thing here
when there’s a medium, the speed of the electromagnetic wave is

Like this!!!!
But apparently people wanted to use “the speed when there was nothing at all”
as the reference for the speed in each medium, so here’s how they express the speed inside a medium
we’ll multiply v by 1, and again a somewhat fancy 1, and if we look at it,

Now, the meaning n carries is “how different is it compared to when there’s nothing~~~~~?”
something like that, I guess,
and if n is a value close to 1, “it travels similarly to when there’s nothing^^
(usually n is greater than 1) - (obviously?)
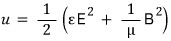
Well, there’s nothing left to do.,,,, since for the wave’s energy density we also just need to swap the coefficients from what we got earlier!

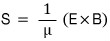
And the Poynting vector toooo!

And the Intensity toooo!!!!

There we go!!! We’ve now looked at both cases — with and without a linear medium!!
Now I’ll throw out a question.
“What’s the deal when the medium changes from vacuum to a linear medium~~~~~~~”
or
“What happens when it changes from one linear medium to another linear medium~~~~~~~~~”
Now I’ll set out to find answers to these questions.
The key will be in the “boundary conditions,” right?????(just like in the bullet discussion, the wave shouldn’t be cut off~) — that’s how we’ll think about it
At the boundary!!!!! Do you remember how we derived those boundary conditions?
When we learned Maxwell’s equations!! back then in Chapter 7.
by placing a Gaussian surface at the boundary, by setting up an Ampèrian loop!!!

This is what we learned
Based on these equations, let’s go look into reflection, transmission, and refraction!
Originally written in Korean on my Naver blog (2015-08). Translated to English for gdpark.blog.