Reflection and Transmission of Normally Incident Electromagnetic Waves
We dig into what happens when an EM wave hits the boundary between two linear media, using Maxwell's boundary conditions to work out reflection and transmission!
Picking up right where the last post left off.
Alright!!! What we’ve now seen is BOTH the case with a linear medium and the case without one!!!
So now I’ll throw out a question.
“What happens when the medium changes from vacuum into a linear medium~~~~~~~”
or
“What happens when it changes from one linear medium to another linear medium~~~~~~~~”
Now I’ll set off to find the answer to this question.
The key would be in the “boundary conditions,” right????? (Just like in the bullet discussion — the wave can’t be cut off~), that’s how we’d think about it.
At the boundary!!!!! Do you remember how we derived those boundary conditions?
When we learned Maxwell’s equations !! Back then in Chapter 7,
by placing a Gaussian surface at the boundary surface, and setting up an Ampèrian loop!!!

This is what we learned.
Based on these equations, let’s go find out about reflection, transmission, and refraction!
First, let’s look at the reflection & transmission of the electromagnetic wave, and then go in the order of refraction after that.
Let’s say the change in medium happens on the xy plane (z=0), (i.e., the two linear media are in contact at that location),
and let’s say the electric field E shakes back and forth simply along the x-axis direction (polarization vector is x-hat),
then the shake-shake direction of B will automatically be along the y-axis!
Alright then, let’s shoot a wave from left to right.
Shoot it!!! Pyok~

Alright! Off we go!


So~ then on the xy plane (z=0), the reflected wave and the transmitted wave are ~~~~~~
Before saying that — for the reflected wave, the wave number (k) doesn’t change, only the sign changes!!!
<Once again ‘why?’ : the frequency of a wave that’s been launched once doesn’t change….
But the speed changes depending on the medium….. so the wavelength lambda changes, which means !! the wave number k will change!!!!>

Anyway, so the reflected wave will turn out like this!!!!


<The reason there’s a (-) on the magnetic field : the (-) has to be there so that the Poynting vector for the reflection points in the same direction as the reflected wave!!!!!
If the two directions are different, that would mean some kind of weird… physical phenomenon, so it becomes a nonsensical equation!!!!
The (-) was attached to prevent the weird conclusion that the wave goes left while the energy flow goes right!>
Good good, riding the feel, let’s look at the transmitted wave too!!!!


What this is saying right now is that at z=0,


I don’t know for sure, but it’ll be one of these two situations. Whether it’s a free-end reflection or a fixed-end reflection, it’ll be one of the two situations, right?
Anyway, as we confirmed earlier, E has no z-direction component, so we don’t need to bother with the perpendicular-direction boundary condition.
So, focusing on the parallel component,

since this is the case,

we can organize the equation like this.
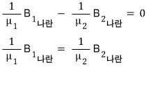
Likewise, the magnetic field B also has no z-direction component, so for it too we only need to look at the parallel-component boundary condition.

since this holds,

writing it like this


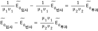
with these two equations, now we’ll mess around with them to derive
the relation between incident and reflected
the relation between incident and transmitted.
To do that, I’ll gently fiddle with the second equation first.

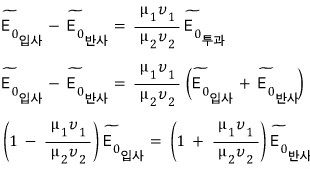
After setting it up like this, now by substituting the first relation into here
let’s work out the relation between incident and reflected & the relation between incident and transmitted.
- The relation between incident and reflected


- Likewise, the relation between incident and transmitted is

It comes out like this.
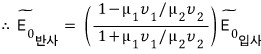
Yeah. So. What. is. the. physical meaning of that, then!?!??!?!?! (Assumption incoming. ※caution: assumption※)
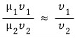
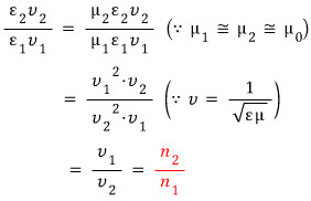
In reality, in most media the permeabilities are reaaaally close to each other, so reaaaaally

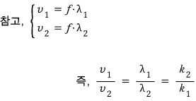
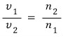
it can be expressed this way, and also, by Snell’s law that we did back in high school,
(Snell’s law comes up later, so don’t be too taken aback.)

it can also be expressed this way.
So those equations above for incident-and-reflected / incident-and-transmitted can now also be expressed in terms of the wave speed v in the medium or the refractive index n.

It’s the saaaame as the very first time we considered the string wave!!!!!!!!
Oho oho, completely the same~~!!

Dividing the two equations against each other, when v2>v1, the transmitted wave doesn’t flip,
and when v2<v1 it flips! Yes!!
Alright then, on to the next question
“So how much gets transmitted and how much gets reflected, huuuuhhh??~??”
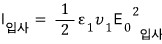
Okay! Then let’s look at the Intensity.



What this means is, let’s take a look at things like these.

////////

////////

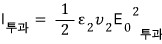
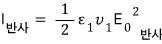
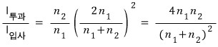
- First, let’s take a look at the intensity ratio of incident to reflected, which looks like a hella lot is going to cancel out.

- Let’s look at the intensity ratio of incident to transmitted, which looks a bit annoying!!

@caution: assumption@
(In reality, in most media the permeabilities are reaaaally close to each other, so reaaaaally)
I’ll do a little magic show with this assumption.


The intensity ratio of reflected to incident is called R, the reflectance,
and the intensity ratio of transmitted to incident is called T, the transmittance.
Since this is a ratio of energies, we saw that R + T = 1 is satisfied ttak!!!!
But you might also say something like this
“You punk -_- didn’t you bring in some weird assumption and play around with the equations?
Without making assumptions, prove that R plus T equals 1!!!!”
You might say that. This was actually in the practice problems.
I am planning to put up a practice-problem post at the very~~ end, but,,,, it’s not particularly hard.
You can do it without the assumption. Just that the equations get a bit nastier…wahhh…..T_T
The next post will bring refraction.
Originally written in Korean on my Naver blog (2015-08). Translated to English for gdpark.blog.