Refraction of Obliquely Incident Electromagnetic Waves
Tackling oblique-incidence EM wave refraction by ripping E and B fields into normal and parallel boundary components, then matching all four boundary conditions.
Haa………………………………………………………
Let me take one loo~~~ng sigh and get into it.
Electromagnetic waves refracting at oblique incidence
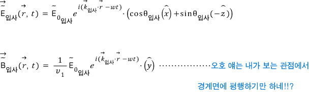
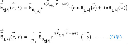
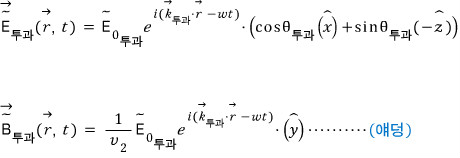
I described the situation like this.

Like before, ditching the description of a wave propagating in the z direction,
and describe it as an electromagnetic wave propagating in 3D space (really 2D), and go through the boundary conditions.
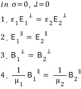
(Unlike normal incidence, I’ll have to use all 4 boundary conditions, right?)

Now here too, even if we don’t know for sure, what we can guess is
that like this, whether it’s fixed-end reflection or free-end reflection,
we can guess it’ll be one of these two.
And what I’m also going to do is, rip the vector (at the boundary) apart into the direction normal to the boundary (z) and the direction parallel to the boundary (x),
and then try to match the boundary conditions. (Not sure if it’ll work.)
So first, let’s rip each of the electric and magnetic fields apart and describe them, go go go



boundary conditions~~

Haa……………………………the second sigh, go go go
Now I’m going to apply those one by one………………….T_T T_T T_T, haeu,.T_T.T_T.T_T T_T
1 !

2 !

3 !

Phew~ no B perpendicular to the boundary! Yessss!!
4 !

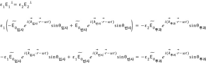
Excluding number 3, we got three equations,
and here’s what I’m going to do now.

I’m going to blast all of these away.
The logic by which we can blast them is this:
those 3 equations have to hold anywhere on the boundary z=0,
and when x, y change just a teeeeeeny bit, those terms each turn out different!
In that case, the only way they can survive as equalities is that those terms containing the variables all have to be the same!

With this, those equations can alllll hold anywhere on z=0!
And

Using this, let me clean up those 3 equations a bit more.
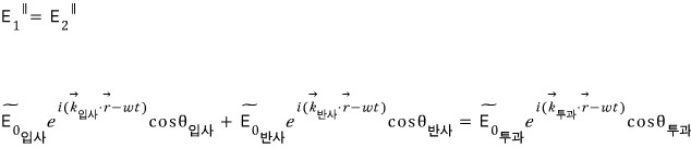
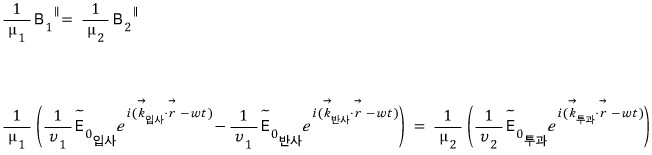
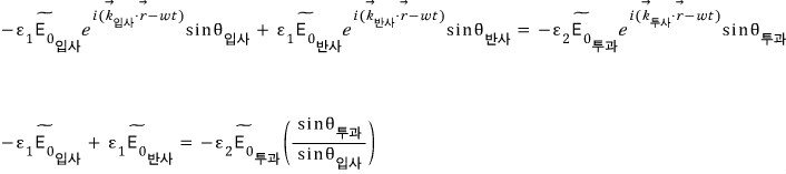
1

2

3

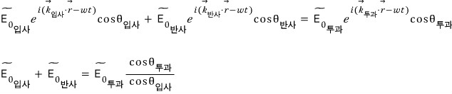
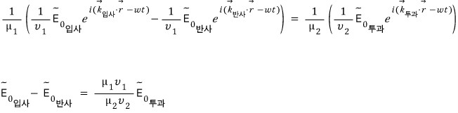
If you mess around with and manipulate the first equation, it comes out the same as the third equation.
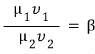
So we’ll use the second equation and the third equation to work out the relationship between incident and reflected, and between incident and transmitted.
Before that,

///////

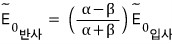
let’s make these little agreements and write the equations a bit more comfortably,


This is the general situation.
But!!!
But there’s a cool case!! (When is that!?)

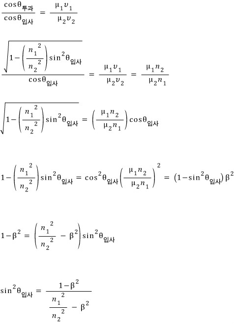
there’s a special case where this holds and no reflection happens at all!!!!! (oh my, for real!?)
Let me work it out.

Here’s the trick I’m going to pull:
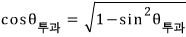
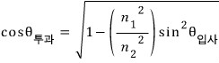
the Pythagorean theorem

and Snell’s law (스넬의 법칙)

I’m going to play with these
that is,.

and if I plug this into that very first equation up there

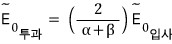
So there’s an angle of incidence at which alpha and beta are equal!!!!
That angle is called Brewster’s angle!
Well, anyway, getting back on track,,,, now
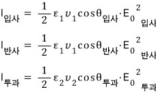
“how much is reflected, and how much is refracted and transmitted??!?!?~!?!?!?!?!”
Okay then, we just need to look at the z component of the Poynting vector, right?! Let’s just look at the z-axis projection of the intensity~~~~~

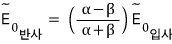
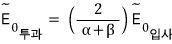
Oh, and you haven’t forgotten this, right


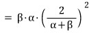
Reflection(R)

Transmittance(T)


Here too (of course) R + T = 1 is still satisfied!!
Originally written in Korean on my Naver blog (2015-08). Translated to English for gdpark.blog.