Electromagnetic Waves in Conductors — Absorption and Dispersion (Part 1)
We crack open Maxwell's equations inside conductors (J ≠ 0 this time!) and mix in Ohm's law with the continuity equation to see what happens to free charge density.
What we’re doing from here on has some differences from what we did before.
Whereas before we had σ=0, J=0,
here in general J is not 0.
ah whatever,
let’s just carefully start from Maxwell’s equations like we did before.
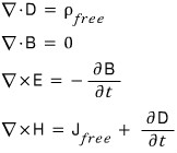
I guess we need to look at Maxwell’s equations inside a medium
since we’re going to be looking at conductors!!?

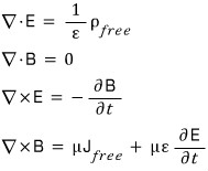
Inside a medium that form is correct, but if that medium is a linear medium, then since P and M are linear in E and H,
because of that we can conveniently write D and H in terms of E and B!!!
So with the assumption of a linear medium, if we write the above Maxwell’s Eq in terms of E and B,

Now there’s something else we can play with here.
The continuity equation

We’re going to play with this.

Like this><!
Now, and another thing we’re going to do hehehehe
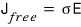
Ohm’s law, which we learned at the very~~~~~~~ beginning of electrodynamics!

We’re going to use this
Here sigma isn’t talking about the surface charge density, it’s talking about the electrical conductivity!!!!! it was!!
Now, how are we going to play with that equation
We’re not going to look at the whole J.

We’re only going to look at this free current,

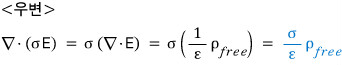
and we’re going to take the divergence of both sides like this
And then we’ll mess with each side one at a time.



Ohhh!!!! It’s a first-order linear differential equation!?!?!?!!!
(Since I doubt someone studying electromagnetic waves would get stuck on a first-order diff eq,)
(I’ll deploy that scary skill called ‘skipping as if it’s obvious.’)

Ohohohohohoho neat.
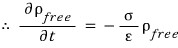
When you write out the equation for free charge density with respect to time, as if it were obvious, the term σ(conductivity) shows up together with time,
and if σ(conductivity) is large, the rate at which the free charge density decreases over time is fast, and if a lot of time t passes, the free charge density decreases… is that what it means?!?!
‘That free charge density flows!!’ — since it’s a conductor, obviously?!
Ah~~~ anyway so
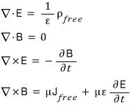
Maxwell’s equations inside a medium

this thing?
we can rewrite it as Maxwell’s equations “in a conductor.”

The reason the first equation becomes zero is because conductor = conductivity is frigging huge
You can understand it like that
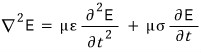
So this is… Maxwell’s equations in a conductor right now.
Electromagnetic waves in vacuum, and electromagnetic waves in a dielectric, how did we do them?
By taking curl of curl of Maxwell’s equations in each situation,
we confirmed that ““““the wave equation

holds””””"!!!!!!
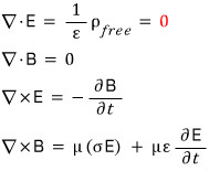
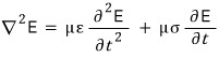
Let’s run the same process on the Maxwell’s equations in a conductor above. If we take curl of curl on equation 3 and equation 4


we get these!!!
“Yay!!! Since there’s a first-order time derivative term, it doesn’t satisfy the wave equation!!
That is, there are no electromagnetic waves in a conductor!!”
If that had been the conclusion, it wouldn’t have come this far……..haa………why is that a wave equation
When you just first look at it bam!, the shape kind of resembles the Schrödinger equation, the probability wave equation, so maybe it’s a wave equation?…
The way to understand why that……….is a wave equation……………..
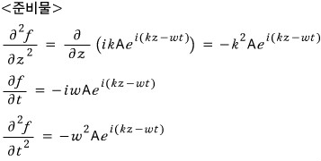
is to plug in some wave equation (trial solution) and if that wave satisfies the above equation,
then we can say that the shape of the above equation is also a wave equation!!!!! — that’s the logic we’ll go with.

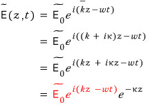
Is this now a wave equation or not~~~ — since figuring that out is the problem,
some wave

let’s plug it in and see if it satisfies.


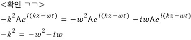
The left side is Real, and the right side is Complex!?!?!?!
Holy shit,,,,,,,,,,,,,,,,,,,,,,, there’s room to make the left and right match.
Specifically, if k-squared is a complex number, then the left and right sides can match….
T_T T_T T_T T_T T_T T_T T_T T_T T_T T_T T_T sob sob T_T T_T T_T
To be specific

the wave number k of the wave equation that satisfies this is

like this.
Therefore the wave that the above equation represents is

this.. T_T
It’s a bit different in form from what we’ve dealt with so far, and a bit abstract too, …
Hm let’s think.
What’s the difference when k is complex vs. real?

let’s put it in like this. (to find out just what role the complex term plays)

In the end, the origin~~~~~~~~~~~~~~~~al sine-wave term comes out! hehehehe

Then what is the multiplied

part!!!! what is that!
Everyone, from damping harmonic oscillation,
do you remember the shape of under damping (low-damping?? sub-critical damping, is that what it’s called?)!!! ?!?!
The thing above can also be understood as a sine function multiplied by an exponential,

so it probably has this shape
Ahh……….. so it’s not that there are no electromagnetic waves inside a conductor,
but that the amplitude of the electromagnetic wave gradually decreases….!!!! ugh!!!
It decreases…. ‘by how much per what amount does it decrease……??’ — being able to answer this question must be important
Now~~ as for what kind of factor kappa κ can be thought of,
“If z advances by 1/κ, the wave’s amplitude decreases by a ratio of 1/e.”
It can be seen as that kind of factor!!!!! (we did this in general mechanics too right!?)
So this 1/κ = d, and apparently this is called skin depth (penetration depth)
Anyway the conclusion is

the imaginary part

kappa means “by how much does it decrease”!!
(The real part k’s meaning is probably the same as before right???? wavelength, speed, refractive index, etc.

////

///

)
So now that we know that thing is a wave equation,
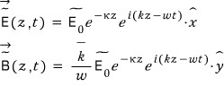
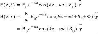
let’s introduce the polarization vector and express it formally.
For E’s polarization vector, rather than a general n-hat, for now let’s set it as x-hat.
Let’s think of it as having lined up the coordinate axes neatly~~~.
Then B’s polarization vector will be y-hat,
and for the amplitude

gets attached, but here if we just write

like that, it looks like we haven’t taken

into account, so instead of

it’s

!!!!?? no no~~

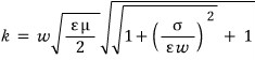
not just k, but let’s use k-bar, the complex k!!!
Therefore,

that damn pain-in-the-ass k-bar………..
no choice but to describe it in terms of phase………..(because it’s complex)

like this.
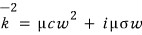
Now then, the small-k and kappa that make up big K………
those constants must surely be related to mu, epsilon, and the conductivity sigma
As previewed earlier,

we said it was this.
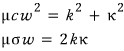
Then let’s express small k and kappa in terms of our coefficients,
and ultimately let’s express big K entirely in terms of our constants.


If we mess around with these two equations that come out,


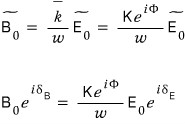
apparently it’s like this..~ So the magnitude of the complex k-bar, the big K, is!!

The phase Φ is!!

We’ve been going on and on~~~~ about only k-bar this whole time,
but if we sort it out again there really doesn’t seem to be much to it
The real part of k-bar is in charge of the wave’s wavelength, speed, frequency and such, and the imaginary part, the so-called ‘skin depth,’ represents the decay!
And the real part k and the imaginary part kappa can each be expressed in terms of some factors!!
And finally we looked at it using phase, and the reason we did that is because,

because of this guy!!
Exactly because of that red thing, the speeds of the E and B waves are slightly different….

Looking at only the phase! delta_B = Phi + delta_E
“The electric field leads the magnetic field by Phi.”
(Kind of like the potential or current when L or C is coupled to an AC source…?)
In conclusion, we extended it to complex numbers for our convenience in description,
and we put the ~ tilde on top meaning “its real part ^^”, but if we rewrite it as “Real only,”

As a picture,

hehehehehehehehhehehehehehehehehehe
Sorry for the uselessly long post.
I’ll do the stuff about boundary conditions briefly in the next post, go go.
Originally written in Korean on my Naver blog (2015-08). Translated to English for gdpark.blog.