Electromagnetic Waves in Conductors — Absorption and Dispersion (Part 2)
We tackle boundary conditions at a conductor surface, cheer over vanishing free currents, and set up incident/reflected wave equations for normal incidence into a conductor!
I’ll continue writing right away.
Now we’ll look at the boundary between a conductor and a dielectric.
Whether it’s incidence from a dielectric into a conductor, or from vacuum into a conductor, whatever — incidence into a conductor!!
(Since dielectric and vacuum are just a difference in ε,)
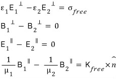
So if we write down the boundary conditions for a very general situation at the surface of a conductor,

(n refers to the normal vector perpendicular to the surface,,)
(ah also, that free charge density sigma,,,,,,,, if you’re going to mix it up with the conductivity sigma you might mix it up, but we won’t mix it up and we’ll press on ><)
(↑what the hell am I saying lol)
Don’t be too discouraged looking at these boundary conditions.
Good news has arrived!!!

Nice right?!?!?!!!! ah it’s zerooong ah it’s zeroooooooo
Because~
It’s a ‘conductor’, and a conductor means conductivity sigma is infinite
What that means is

the forces (Coulomb force) among themselves balance out ttak!!
thus, unless you apply an external electric field separately, there’s no way J or K could exist, right???
Alright, now let’s go like we did when we were dealing with dielectrics.
First of all, like before, it’s normally incident, and the polarization vector of the electric field is x-hat,
(the polarization vector of the magnetic field is of course y-hat) and the direction of propagation is z-hat,
and let’s say the surface of the conductor is on the xy-plane (z=0).
Alright, now let’s mobilize the knowledge from before.
By now these equations don’t feel foreign to us at all>0<


Feel brimming!!!!!!!!!! what is the reflected wave!?


Up to there it was the same as before so it was easy!!!!!
Now the transmitted wave!!! For this one we have to mobilize the knowledge we literally just got. Okay Let’s move out!


The deeper it transmits and goes shoong~~ in, the smaller the amplitude gets hehehehe
Alright alright alright alright ok ok ok, up to here, now it’s “checking the boundary conditions” which you’re probably sick to death of by now, starting!!! aoh!!
Ok first of all, equation
i)

and!!! as you can see from the picture above
since there’s no ‘free’ charge density!!!! (I never said there’s just no charge density. There’s no ‘free’ charge density.)
So the right-hand side is 0, and since we have normal incidence right now, there’s no perpendicular component of E either.
Therefore 0 - 0 = 0, just like that we’ve checked equation i).
Then now let’s check equation ii)!!
Ye~~~s confirmed
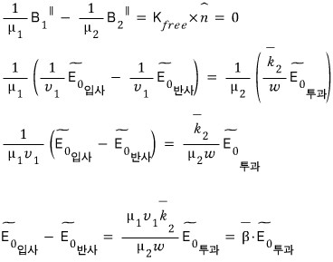
Now from equation iii) onwards, I’m getting a feeling that it’s really going to get started~

So a relation pops out~~~(with respect to amplitude)
Here goes equation iv)!!

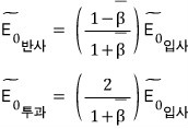
Beta-bar is a complex number, and let’s not forget that it originally had that shape there~
And like we did before, we neatly rearrange the first relation shyong shyong and plug it into the second equation
and check out the incident-reflected relation // the incident-transmitted relation!!!!
I’ll just write the result~ (that’s okay right~?)

Except for the fact that the coefficients are complex numbers, it’s completely the same as the dielectric case!?!
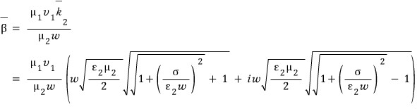
So now we need to rip beta-bar apart piece by piece
What on earth does that complex number beta-bar mean!

Yahoo!!!
A conductor is one whose conductivity sigma is freaking huge! Plus, a perfect conductor means sigma is infinity!!
Sigma being infinity means

becomes infinity,
and that in turn means

becomes infinity!!!!!!!

Ahah!!! An electromagnetic wave incident on a toooootal conductor doesn’t transmit at all and is all reflected,
and the phase of the reflected wave flips the other way!!!(like fixed-end reflection)!!
I’m gonna go sleep for today><

Originally written in Korean on my Naver blog (2015-08). Translated to English for gdpark.blog.