Frequency Dependence of the Permittivity
Turns out permittivity isn't just a constant — it changes with frequency, and we dig into why using a good ol' spring-mass atomic model instead of scary orbitals.
Alright. Up until now it was “monochromatic,” so we didn’t need to worry about this thing called “dispersion.”
From here on it’s “monochromatic nope nope, multi-color yes yes.”
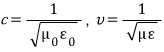
First let’s look at the refractive index.
What is the refractive index???
“How different is the speed here from the speed in vacuum~~~?”
that is
n=c/v
but

therefore

(Here c is of course a constant, and f is also a constant!?!?!!! n is a function of the wavelength lambda….)
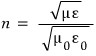
And let me write “how different from the speed of light~~” from this perspective

Using this

And applying the assumption we made before, “permeability is about the same everywhere~~~,”

That is, the relative refractive index is a function of the wavelength lambda~
Well, roughly this sort of conclusion can be drawn.
Huh?!? Permittivity depends on the wave’s wavelength lambda?!?!?

Welp…. yeah…. well, apparently so.. T_T
Okay, then why!!!! why!!!??? does the permittivity epsilon of a dielectric change with frequency
Above, mathematically, that’s how it comes out,,,,, hmm,,, when we do it with formulas like that, there’s nothing to say,
so then what on earth is happening inside the atom that yields such a conclusion — time to think about that
That, if anything, could be said to be the purpose of this posting…lol
Alright then
What does the inside of an atom look like anyway??
Hmm~~~~
Orbital~!!!!
if you say that, you’ll get cancer now lolololol let’s avoid cancer
Let’s think with an easier, simpler model!!!!
A classical orbital model??? Not that, just
like this

Alright so now let’s arrange it in a shape that’s convenient for us to calculate,
and let’s draw in the axes too
< too lazy to draw it myself, excerpted →→ >

Explaining things with a spring system — in mechanics,
electric circuits, and so on there are tons of them, I’m sick of it,,,,, and here it shows up too -_- agh!!!!
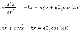
Anyway, the forces the electron receives are, first,
the restoring force

the electric force due to the electric field

and there’s also a damping force

(let’s not worry about the cause here)


It’s exactly the thing we covered in the differential equations special posting!!
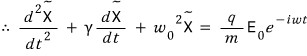
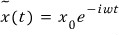
Let’s extend the cosine on the right-hand side to a complex exponential, and call it the ‘real part.’

If we solve this and say ’the real part of that solution is it!’, we can say we’ve found the real solution.
Ayy, this one we’re good at, y’know~
Particular solution

Gott it


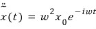
plug in, let’s go

Now then x as a function of t is

it’s saying that it oscillates like thiiiis, and that means the electron is moving like this!!
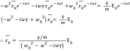
Since the electric dipole moment is qd!!

Now what this equation means is,,,,,,,,,,,,
it means that a phase difference arises between p (electric dipole moment) and E.
(In a way, isn’t that obvious? Since p is generated by E, it’s obvious that a time lag shows up…?? lol)
If we move the imaginary part scattered around in the equation up into the numerator and express it as an exponential, it seems we could figure out the phase difference Φ.
But we’re smart, so just by glaring at that thing we can figure out the phase difference in one shot, right?!?!!!


But……….. usually depending on where the electron is in the molecule, or where it is within the electron [shells], at each of those positions
the natural frequency is different, the damping constant gamma is different,….. apparently.
So,

electrons like this,

there are this many, and let’s say per unit volume there are N of them.
Each and every single one of ’em — each-each-each — all~~ have to be added up, so…

Can’t we write it like this??
That blue one there is called the “complex susceptibility”

and apparently it’s notated like this!!!!
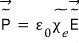
In the end,

we can write it this way, so it can be described just like we learned back in Chapter 4~~~ is what it’s saying.
hehehe in Chapter 4 we used the P vector to define a linear medium and defined something called the displacement field — what happens to that?~
Yes, that too is prepared.

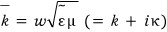
Ah…. if I take this in a kind of elementary-schooler way,
all~~~~~~~~~~ of the equations from every conclusion up until now — just draw a tilde ~ on top of their heads and you’re done!!!
That is, the wave equation here inside the dielectric

can be written like this~~ is what it’s saying.

The solution of this 2nd-order differential equation is

this is the solution
huh?!?! it’s the same as the solution of the wave equation inside a conductor!?!! (only the conductivity sigma would be 0, right?)
So

we get

eughhh~~ exactly!!! the same as in a conductor~ how can they be so alike?
Alright so the gist is ‘inside a dielectric too, absorption of energy occurs’
And also, it’s true that if the frequency is large, the refractive index becomes large!!
I think this is what we’ve examined at a somewhat smaller scale.
With this, I’ll end Chapter 9.
I felt that studying waveguides with the Griffiths electromagnetism book would be too much, so I’ll boldly skip it.
Honestly, I also feel like I haven’t understood it enough to explain it myself.
So the next posting will be Chapter 10
And I have some of the Chapter 9 exercises that I’ve solved — those I’ll put up all at once at the very end of the postings!!!lol
Originally written in Korean on my Naver blog (2015-08). Translated to English for gdpark.blog.