Jefimenko's Equations
We build on the Lorentz gauge, introduce retarded time, and finally nail that causality the Coulomb gauge was missing — hello, retarded potentials!
Using the Lorentz gauge from the previous posting, we’ll go even more general with V and A and consider ’time’ too, and
line up that ‘causality’ that the Coulomb gauge doesn’t satisfy hehehe

so~~
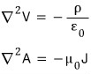
For now let’s say ρ and J are constant~~~ in time (easy does it, step by step)

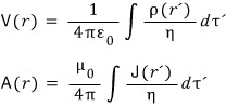
The solution to this we did in Electromagnetism 1

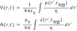
Now, we said we’re going to account for time,
ρ and J at time t won’t determine A and V simultaneously and instantaneously.
Since E and B come at the speed of light, V and A also come at the speed of light, and V and A at time t will be determined by those E and B that arrived, so
V and A at time t were made by ρ and J at some teeeny bit earlier

time, yup
Okay, now I’ll go modify the equation.

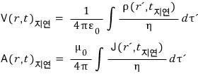
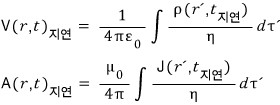
-The potential V at position r at time t /// is due to ρ at position r’ at retarded time t.-
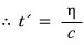
Now~ let me express that retarded time

in terms of t.
V (and A) at some time t is due to ρ (and J) at a time t’ earlier than t,
and that time t’ will be the time it takes (since EM fields come at the speed of light) to travel distance eta at the speed of light c.

So

is what we can say.
So that equation from before was an integral of ρ and J at the retarded time, so it seems they do emphasize calling it the ‘retarded potential’



Let’s solve a problem and move on
It’s a slightly~~ unfamiliar concept for me so…
the concpt… er I mean the concept is a bit bewildering.
Find the electric and magnetic field at point P, y’all~ they say, but we need some charge to even find anything -_-!!!!
Yup, the wire is neutral so V=0.
Let’s focus on the vector potential.
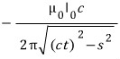
First let me write down the formula we derived for the retarded vector potential~

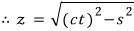
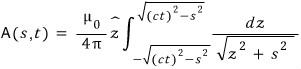
Properly rewriting it for the situation of the problem~~ (J at every point on the z-axis will be I(t))

(Since we said it’s an infinitely long wire, the integration range is just like that!~)
For now, sta~~~rt!!! and during s/c there will be no change in potential,
and once more than s/c seconds pass, A will gradu-gradu-gradually strat to grow.
This is how we can think about it~

As time flows on~~… the range that gives an effect… hehe


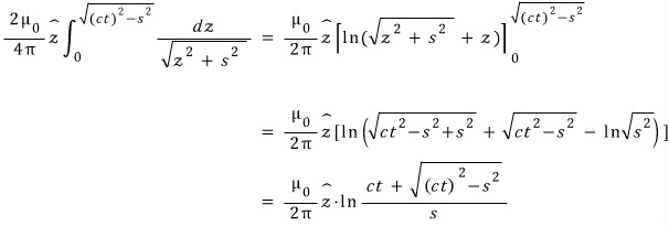
Then we can do the integral like this


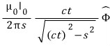
This is the retarded vector potential, and

using this relation to find E gives

.

Using this relation to find B gives

.
That was just one example. Right~ up until then we were examining potentials that account for causality.

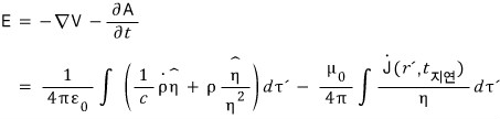
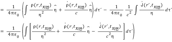
Alright then let’s look at the electric field.!!!! As we saw in the example abov-e

we’ll go with this relation.
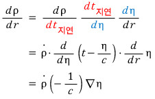
First let me work out grad V.

Now the problem is

this guy.
Why this turns out like this…
I’ll use the chain rule, simple but hard to think up.

Ugh… how do people even think of this stuff? lolol amazing, really lololololol Alright, let’s move on.
Oh and I’ll also write down what’s in Chapter 1 here.

I’ll apply this too.

-Waitt a sec!!! If you take del once more here, it comes back to the result of the d’Alembertian, but I’ll skip that!-
Now it’s

this guy’s turn

.
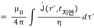
At last we can describe E(r,t).


This is the Reallll ultra-rigorous expression for E accounting for time as well as the change of ρ,
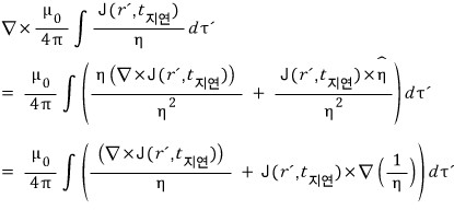
and riding the momentum let’s compute B too.

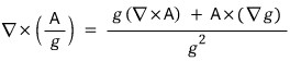
To compute this, if we briefly flip to page 23

there’s this. Slamming this formula in

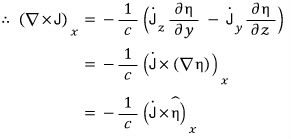
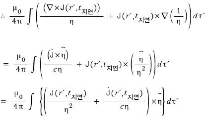
What we’ve got to examine this time is the curl of J, and we’ll look at just the x-component and then generalize.
Like this.



The equation right above — if you do it yourself it amazingly turns out like that. Try verifying it at least once!! hehe

Ahhh~~~~~~~~~~~~~ durn complicated-ish
This, they say, is what Jefimenko announced in 1966 (oh, not that long ago) — the Jefimenko Equation~~
I seriously want to transfer majors TTTTTTTTTT
lololololololololololololololololololololololololololololololololololololololololololololololololololololololololololololololololololololololololololololololololololololololololololololololololololololololololololololololololololololololololololololololololololololololololololololololololololololololololololololololololololololololololololololololololololololololololololololololololololololololololololololololololololololololololololololololololol
Originally written in Korean on my Naver blog (2015-08). Translated to English for gdpark.blog.