Liénard–Wiechert Potentials — Electromagnetic Fields of a Moving Point Charge
We tackle the EM field of a moving point charge using Liénard–Wiechert potentials — supposedly easier than Jefimenko, but still a complete freaking disaster lol.
In the previous post, we considered ultra-rigorously the scalar potential and the vector potential.
Why is that???
To work out the electromagnetic field, right?
Yep. The earlier Jefimenko’s equations were aimed at ultra-rigorously working out the electromagnetic field due to a ‘moving!!!!!!!!!!’ point charge.
Because only when we consider the moving case can we have a fully general theorem, right?
But unfortunately. With Jefimenko’s equations, considering the electromagnetic field due to a moving point charge is supposedly insanely difficult. (That’s what Griffiths says.)
Then isn’t there some other method that’s a bit easier?
That can be done with the Liénard-Wiechert potential.
(Then why didn’t you compute the Liénard-Wiechert potential from the start, why do Jefimenko first and then this again?????)
(They say that if you use the Liénard-Wiechert potential to solve the electromagnetic-field problem of a point charge undergoing hyperbolic motion, it violates Gauss’s law….
This controversy was apparently resolved in 1955. I don’t really know. lollollollol it’s just stuff written in a footnote so for reference…hehe)
Alright then, now the charge……moves…………(it’s a complete freaking disaster.)………haa…
First!!! Before saying that a charged object moves, we’ll look at a point charge moving, and not just moving any old way but
let’s say it moves along ‘some trajectory’.

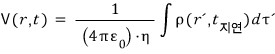
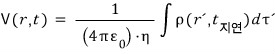
The earlier formula for V(r,t) was

this, and
here the eta, which is relative r, can be pulled out of the integral.
What kind of out-of-the-blue nonsense is this~~~
From here on, we’ll view the r’ vector as a function of time.
So it became independent of dτ’.

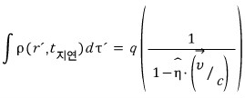
The total charge was q so

Aaah~~~~~~~ done!!!
Strange right hehehehe somehow it feels like this isn’t right lolololololololololololol
When life feels smooth, there’s a high chance that something is wrong somewhere….that…….(my short life experience….hehe)
If it’s like this then it’s too easy…..hmm………..I’ll look at it again

apparently this doesn’t hold
Stating the conclusion first

a term like this has to be tacked on
I’ll study by taking that conclusion and looking for the clue from there…hehe
First

it’ll be. Because the speed of light is the limiting speed of nature, right?
Riiight!! Compared to the charge q at rest, the charge when moving gets a bit larger,
why does it get larger…?
I thought about it like this.

Okayokayokayokayokayokay the message has departed.

Uhuhuhuh…. the late starter is coming…….

The middle guy doesn’t arrive at time t but arrives a little earlier

Uh……..the one that arrived together….with it there’s also something else that left at a later time hehehehe whoa
I’ll stop here.

I understood it after seeing the statement: “you have to integrate the

at different times for each spot in the charge distribution.”
So

something like this has to be multiplied!!!
That is, because of the volume

relation, the charge also “appears” to be different!!!!
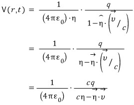
Alright so where have we gotten to

from here

v is the charge’s velocity at time t =

!!
The relative r vector is the vector from the position at the retarded time to the observation point r


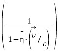
for the integral, instead of

we just do

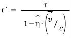
so
therefore

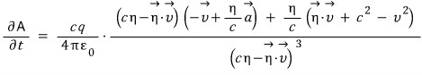
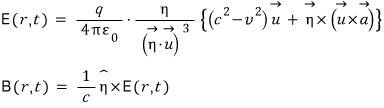
we can even find out the relationship between A(r,t) and V(r,t)~~
This is called the Liénard-Wiechert potential!!!hehehehehehe huh?!?! Done?!?!?
NoNoNoNoNoNoNoNoNoNoNoNoNo now it really begins./….. we got V, A so we can also get the electric and magnetic fields…
(That’s what we started for, you punk -_-)
…folks ……..are you ready to crap blood………………lololololololololololol let’s blood-crap let’s gogo

I’ll go with this.
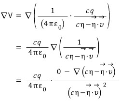
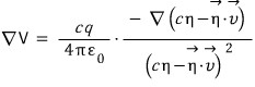
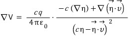
Alright then let’s start with grad V.

From here it gets a bit complicated………………….but I’ll try to write it all out!!!!
What we need to do now is calculate

this guy, and
to look up the product rule, let’s flip open Chapter 1. again!!!!h At the top of page 23 there’s a formula like this.

Applying this,

I’ll calculate the 4 terms in the order of the book — red, orange, green, blue — in that order.



here

starting with this guy!

Therefore

Blue too!!!

To handle this

if we calculate this guy first

Th………..e…………..n

Now let’s gather them in one place!!!

Do you remember why we did all this freaking insane crap lolololololololololololololololololololololololololol
Holy crap lololololololololololololololololololol
We did this much just to do grad V lololololololololololol

I’ll plug it into here. !!!! Was about to plug it in but -_-……..didn’t do this

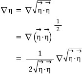
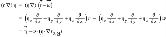
I have to take the gradient of relative r hehehehe I’m about to lose it;;;


Now for real I’m plugging it in!!!!!!!!!!!!!!!!!!!!!!

Ah jeez fff….lololololololololololololololololol now I have to fix grad Tr
and get rid of all those backwards triangles…. hehehehlolololololololololololol
Even getting rid of one takes this much time invested….T_T sigh….
Alright…..here we go..
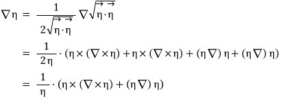
From earlier

we derived this kind of relation,
let me touch up the left side here for a moment.

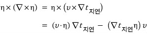
Here we’ll use that product rule from before

.



Here, fortunately

we already did this earlier.

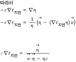
Therefore

So



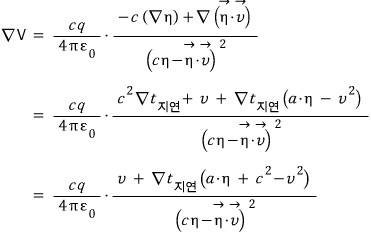
Substituting into here

By now everyone should have a feel for the calculation.

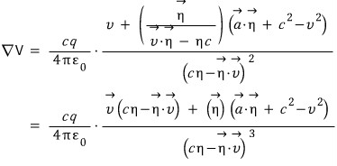
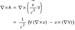
Curl A can be obtained like this.

The ingredients are all prepared, and now if I just write the result……

after making this substitution

I sort of glossed over the very end, but I did derive everything at least once myself………………at least once
It might be better if you just do it once…. since you’re a college student! hehehe
Originally written in Korean on my Naver blog (2015-08). Translated to English for gdpark.blog.