Basis
So a basis is literally the intersection of spanning sets and linearly independent sets — and there are TONS of them, plus order actually matters!!
Let me call the collection of all subsets of vector space $V$ as $P(V)$.


There are gonna be a ton of sets in $P(V)$ —
some sets are spaces you get by spanning, and some are sets where the elements are all mutually linearly independent. Right?
So… what does it mean to take the intersection of those two collections??
An element of that intersection is a subset of $V$,
and the elements inside that subset are mutually linearly independent AND can produce every $v \in V$ through linear combination…
Which means: when you write $v$ as a linear combination, the way to do it is unique….. and
a set like that is called a basis!!!!
And the number of elements sitting in that intersection? Definitely not just 1!!!!
Meaning!!! There isn’t just one set that qualifies as a basis.
There are lots. There can even be infinitely many!!!!
Easiest way to see this is with an example.

Something like this…..
The way to write a vector $v$ in terms of $i$ and $j$ —
let’s give it a shot:

is there any other way?? hehehe

When I say “there are many basis sets,” this is what I mean.
We don’t have to call $i$ and $j$ the basis!!!!
Does it really have to be $i$ and $j$~?! $i'$ and $j'$ work just as fine.

Now let’s look at a set of vectors that is not linearly independent —
and while we’re at it, let me say the linear-independence thing one more time, so this time it really sticks!
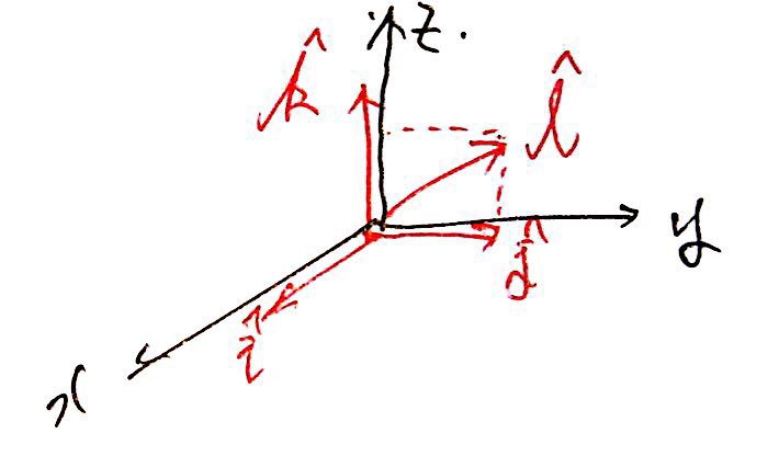
3D space is usually described with 3 basis vectors $i, j, k$,
so… why can’t we throw in a 4th one $l$ and use $i, j, k, l$?!?!?!
That is exactly what linear independence is about.
The 3 vectors $i, j, k$ are linearly independent, so they satisfy everything we need for a basis,
but the 4 vectors $i, j, k, l$ are NOT mutually linearly independent.
To put it simply: $l$ can already be written using $i, j, k$, and equally, $j$ can be written using $i, k, l$.
OK!@!@!@
A couple more things!!!!!@!!
Order matters in a basis set.
We usually write a basis set as $\beta$,

and writing it as

are different things.
Why on earth!!!!
The reason is: “the ordered tuple of coefficients with respect to the basis is what we call the coordinates.”
For example,

you’d write it like that, right?!?!?!
That came from

!!!!
But if it had been

then you’d have to write it as

instead.
So yeah — you can’t just slap the order down however you feel like it. (Sounds obvious when I say it out loud, but somehow it’s hitting me as kinda fresh right now….. where am I… T_T)
Wait!??!?!?! Polynomial sets too?!?!?!?
A usual polynomial set looks like this:

Apparently sometimes they’re sorted out by degree.
Looks like this:


And here’s the wild part.
If you add two polynomials of degree at most 3, the result is still a polynomial of degree at most 3,
and if you scalar-multiply one, it’s still a polynomial of degree at most 3!!!!
Ack!!!!

is also a vector space!!!!!!!!

So what would the basis of this space be~?!
Toss in any polynomial, and the elements of the basis can spit it out as a linear combination, and the way to do it is unique?!?!?!?
Let me just grab one:

Actually, this is pretty much the principle special functions are born from,
but I’ll get into that la~~~ter.
Hold up!!! (off-topic)

Is it OK to write it like this?!?!?!
And then for the basis of a vector space,

wouldn’t it be fine to write it like this!?!??!?!
Yes!!! In this case, it’s fine.
But there are also cases where it’s NOT fine.
You really need a solid grip on what “adding infinitely many things together” and “limit values” actually mean.
It’s because those concepts get tricky that there are situations where this doesn’t fly!!!!
For now let’s just go “oh, there’s a thing like that” and keep moving.
A quick word on Dimension
There are definitely going to be multiple sets that qualify as the basis $\beta$.
I am 100% sure of this!!!! (proof omitted)
Here’s the surprising part:
if a set can serve as a basis $\beta$ of $V$, then all of them, no exceptions, have the same number of elements.
(proof omitted)
So we can treat that “number of elements in $\beta$” as a kind of intrinsic property —
and we call that number the dimension!!!!
hehehe
Originally written in Korean on my Naver blog (2016-01). Translated to English for gdpark.blog.
Comments
Discussion happens via GitHub Discussions. You'll need a GitHub account to comment.