Kernel and Image
We nail down the kernel and image of a linear map, see what injective and surjective really mean, and lock in the theorem that links them all!!!!
Time to define some new terms!!!!
Let’s lay ’em down?!
Here we go~~~~
First, picture a function $L$ like this:

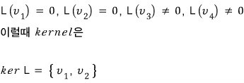
The “kernel of $L$” — written ker L — is

this thing right here!!!!
The set of all $v$ in $V$ that $L$ sends straight to zero!!!!
To make it concrete, here’s a baby example:

And one more thing!!
Don’t forget — ker L lives inside $V$. It’s a subset of $V$.

Next up: the “image of $L$”, written im L.
Definition? Here:

im L is, basically… you remember that $W$ from before? It’s “the set of targets that actually got hit by arrows.” That.
So — Range of $L$. The reachable territory, the stuff $L$ can actually output. Sometimes you’ll see it written Range or R(L) instead.
And don’t miss this: im L is a subset of $W$!!!!!
Now, if $L$ is injective~~~
Or if $L$ is surjective~~~
Here’s how that shakes out..


And the theorem you absolutely cannot forget — the one from earlier:
When $V$ and $W$ in $L : V \to W$ have the same dimension,
①: $L$ surjective → injective conditions are automatically satisfied → so $L$ is bijective.
②: $L$ injective → surjective conditions are automatically satisfied → so $L$ is bijective.
Burn this one in too!!!
Originally written in Korean on my Naver blog (2016-01). Translated to English for gdpark.blog.
Comments
Discussion happens via GitHub Discussions. You'll need a GitHub account to comment.