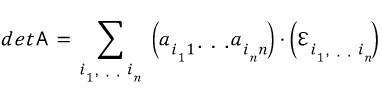
Determinants
We finally crack the determinant open — from 2x2 all the way to 4x4 — by tracing it straight back to where it really came from: the Alternating Form, lol.
OK so up to now, think of everything we’ve done as background-building.
Now it’s actually time to find the Determinant!
Time to learn how to determine the value, exactly!!!
If you keep at it~~~~,

you’ll be able to crack this determinant too.
Right now it probably feels like “whoa?!!?!?!?!!!!!!!!!!!!!!no!?!!?!?! THAT!!!!!!!!!!!!!!!!!?!?!?!?! HOW!!!!!!!!!!!!!!!!!!!!!”, right?
It’s actually super easy, lol.
Let’s go!
You haven’t forgotten where the determinant came from, right?!?!?!
Yep — it came out of the Alternating Form, one flavor of Multi-linear Forms.
That was defined like this:

And from there, the definition of the determinant was that part out front.

Like that!!!!! Right?!?!?!
OK then let’s size up step by step, starting with a 2x2!!!!

I deliberately used subscripts and red and black colors… to make it easier to follow… (sob)(sob)
I’m honestly worried it might be making the breakdown worse.
On the left I cleaned up the epsilon symbols, and on the right I ran the calculation using the determinant definition from above.
Let’s do 3x3.

Same principle as above.
3-by-3 shows up a ton — anytime we deal with 3 dimensions, or tensors — so this one’s not bad!!!!
We already know it’s calculated like a cross product!!! That’s how Curl gets calculated too, right?????
I think we should not forget that this thing we’ve been doing all along without thinking actually originally came out of the Alternating Form.
(I’m a physics student, so when I found this part out I was seriously like lol lol lol lol, what lol lol lol lol lol, so THIS is what it really was~~~~ and I just collapsed lol lol)
OK now let’s go to 4x4!!!!!!!
Ready for total mental breakdown??? Let’s go let’s go let’s go.

First I’ll write it out like this. Then for the epsilon symbols,

I’m going to sort them by the very first index of the epsilon and bundle them into 4 groups like this.
Why?

Because I want to bundle this long row of additions into 4 groups.
After I’ve bundled them into 4 groups,

I’m going to figure out the signs of the epsilons in that very first bundle,

and use the fact that the leading index is fixed to do something a little clever (read: a little sneaky).
The trick I’m talking about:
if something is written as 1234,

instead of seeing it as

we see it as

split apart.
So

is

one swap, so “−1”.

is

one swap, so “−1”.
And so on~~~~. What I’m saying is~~~~
the split-off

doesn’t have to be read as 2, 3, 4 anymore — we can read it as

That’s the move.
And if you look at it that way, it becomes a 3x3 — something we can handle by hand!!!!!?!?!?!?
Because we can think of it like this!!!

That handled the bundle where 1 sits at the front.
For the bundle where 2 is at the front, the bundle where 3 is at the front, the bundle where 4 is at the front — same exact principle, they look like this:

And what we just did here is

The bundle in the epsilon with 1 at the very front
is the bundle that goes with $a_{11}$,
and $M_{11}$ is

after writing it out again like this,

it can be written like this!!!!!
That is — “the first bundle” can be written as

That’s what it means!!!!!!!!!!!!!!
Quick one-line summary about capital $M$ before moving on.

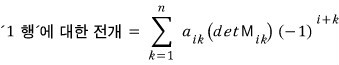
Example)

OK so,

first bundle is done. Now think about the second bundle —
the epsilon was

so,

Conclusion:

Now, the expression above was built by grabbing the elements $a_{11}, a_{21}, a_{31}, a_{41}$ from column 1 — the first column — and bundling them, right?
But the bundling works no matter which column you pull from, one element at a time.
In other words,

pulling them out one at a time like this, and for each one pulling out its corresponding submatrix, multiplying by the submatrix’s determinant, and summing it all up with a sigma — that works too!!!!!
Why does it work for any column though??!!?!?!
Instead of bundling by which value sits at the front of the epsilon (1, 2, 3, or 4),
we’d be bundling by which value sits at the 3rd position of the epsilon, right?!??!?!?
So sure, the epsilon signs might shift around~~~~ — let’s just hand-wave that for now.
(Lucky for us, pulling from column 1 and pulling from column 3 give the same signs, lol)
That is to say,

so earlier the discussion fixed $j=1$, but
$j$ can be 1, 2, 3, or 4 — doesn’t matter.
But!!!!!!!! In the very last post,

we studied this property.
OK OK OK OK OK OK, so the determinant calculation —
we took elements from column 1 (the row-1 entry, row-2, row-3, row-4), bundled, and computed —
and since the transpose doesn’t change the determinant,
we can also take from row 1 (the column-1 entry, column-2, column-3, column-4),
multiply each by the determinant of its submatrix, and sum them up. Totally fine.
<Imagine doing a Transpose first and then applying the same method as before.>
<What had been “pulling row entries out of a column” — once you transpose first to apply the same trick — becomes “pulling column entries out of a row.”>
Example)

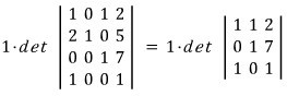
Let’s stop doing this with letters and try an actual 4x4!!!!!!!!!!!!
That way you’ll really feel what we just did up there!!!!!

Let’s find the determinant of this matrix!!!!!!!!!!!
Using the method from above!!!!!!!!!!!!!!!!

That’s how we said we’d find it, right????
So the unpacking goes:


OK so —
probably a good moment to point this out:
When you find the determinant of a 3x3, you also take the column-1, column-2, column-3 entries of some row,
and multiply each pulled entry by the determinant of its corresponding submatrix and add/subtract, right?
Wait. Isn’t that… the cross product calculation????
In other words, when you try to calculate the 3x3 determinant by the principle above, it turns out to look exactly like the cross product, and that’s apparently why the cross product is computed that way — it borrowed this.
(The cross product itself we’ll revisit later!!!! Don’t sweat the connection yet — catch it when we get there. For now I’ll just leave it at this and move on.)
(For the sake of mental health.)
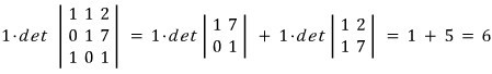
But — when finding the determinant of matrix $A$ above,
compared to expanding along column 1 like we just did,

apparently we should know how to see that expanding along row 1 is way more advantageous.
The reason it’s easier is super simple: “there are tons of zeros.”
Because there are tons of zeros,

like this, the calculation collapses significantly, and we get our determinant value way faster.
Hey, you know what?????????
Human desire knows no bounds, lol lol.
“Isn’t there a way to make this even easier?”
There is.
For that, let me copy-paste something from a previous post.
<Copy-paste begins>
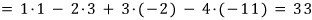
And let me mention another property of Al.
“The Al value of a matrix where you’ve added a constant multiple of one column to another column is the same as the Al value before you added.”
Totally obvious, right????? (What if you don’t think it’s obvious….. ) Hmm,,,

Got it?!?!?!!?!?!!?!
This pulls some weight later….. you’ll bump into it in the determinant.
<Copy-paste ends>
Lol lol lol lol — and we’re literally bumping into it right now in the determinant.
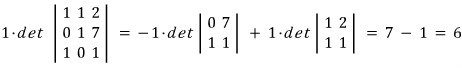
So in the matrix above,

I’ll do column 1 minus column 4.

Oh ho~~~~ so then

that’s what it means.
You caught why I did that operation, right?!?!?!!?!?!!
It means: by manufacturing as many zero-filled columns or rows as we can like this before we expand, the calculation gets so much easier!!!!!!!!!!!!!!
Hey, 5x5 matrices aren’t scary anymore!!!!!!!!!

This was terrifying a minute ago, wasn’t it? lol lol lol lol lol lol
Let’s pick row 5. Only one nonzero — everything else is 0.

Oh ho~~ now it’s reduced to a 4x4 determinant.
Here, let’s pick column 2. Three zeros in column 2.

From here on, it doesn’t matter which one we pick.
What should we go with?????
Let’s just pick column 1.

If we’d picked column 2,

Conclusion: no matter how huge the matrix, as long as you’ve got enough paper and ink, the determinant can absolutely!!!!!!!! be found.
Tip: what era are we in, who’s calculating this by hand one entry at a time — is this the Stone Age?
I did it in Matlab myself,
and in about 5 seconds the answer 6 popped out. lol lol lol lol lol lol
<Screenshot>

Kidding… heh.
The professor said
these days no one finds determinants by hand,
but there’s a difference between knowing the principle and not knowing it,
so he recommended doing it by hand at least once.
Originally written in Korean on my Naver blog (2016-01). Translated to English for gdpark.blog.
Comments
Discussion happens via GitHub Discussions. You'll need a GitHub account to comment.