The Adjoint Matrix
We dig into triangular and Vandermonde matrices, crack their determinants, then build up to the adjoint matrix — which is about to become super important for what's coming next.
So far we’ve been computing determinants for general matrices.
Now I want to look at some special ones.
Determinants of weird, unusual matrices.
And as we go, the topic is naturally going to drift toward ‘diagonalization’….. so look forward to a total mind-melt.
① Triangular Matrix:
Upper Triangular Matrix
Lower Triangular Matrix
i) Upper Triangular Matrix:
A matrix where everything below the diagonal is 0.
Let’s look at the determinant of one of these.
Example)

You already saw it coming, didn’t you.
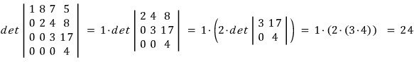
For a triangular matrix — you just multiply alllll the diagonal entries together and bam, that’s the determinant!!!!
Same deal for a lower triangular matrix!!!!!!
Let me show you another weirdo.
② Vandermonde Matrix

This kind of matrix is called a Vandermonde matrix.
I want to look at the determinant of something like this.

If we treat these as variables,
then det A is basically a ‘polynomial.’
So let me first just figure out the degree of that polynomial.
degree of det A = deg(det A) = ?
OK so the highest degree would be

I guess, yeah~
Alright, degree settled. Now let’s actually look at the determinant.
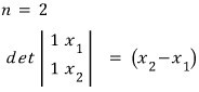
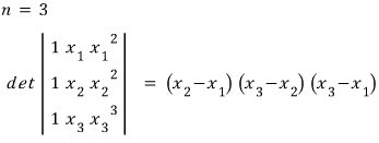
I’ll start with the 2×2 case and grow it.


Now let’s go full n × n.

The number of ways to pick j > i on the right-hand side is exactly the degree of det A, so

just like that~~~~~~~~~~

Because of what this means,

If all of those are different, det A ≠ 0.

If even one pair among them is equal, det A = 0.
So bottom line — the goal here wasn’t actually to compute the Vandermonde determinant,
it was to nail down these properties~ (because we’re going to use them later T_T)
OK now I’m going to build one weird matrix — and honestly, this is the whole point of the post.
It’s getting used directly in what comes next. Its name is Adjoint.
First, let me write out the formula for expanding det A along row i.

If you’re not familiar with this, here’s an example — expansion along row 3.

Right now in your head you can picture it, right? Pulling each element out of row 3 one by one and going whoosh-whoosh?!?!?!
OK, moving on.
I said we were going to build a new matrix, right??????????
Here’s how.
We’ll use info from matrix A to construct some matrix B,
and we’ll call the product A·B the matrix C.


You’re tracking with this picture, right?!?!?! lol
Here’s the definition of B:

So that’s our B.
Clearly built from the info of A. Because the M part is built from A.
Actually there’s an easier way to think about how B is constructed from A.
Take the matrix of determinants of A’s minor matrices, transpose it, multiply by the sign factors — that’s the recipe. I’ll show it on an example in a sec.
Anyway, back to the main thread.
Since C = AB, let me apply that B again.
For now I’m just going to look at the diagonal entries.
The diagonal entries are!!!!!!!

Huh? Where have I seen this before.
Right. We wrote this formula way up there:

So,

Oh ho ho ho ho ho.
Take some matrix B built from A’s info, multiply, and look at C —
every single diagonal entry of C comes out as det A?!?!?!?!?!
OK let’s actually run this on a concrete matrix!!! Just to see how it really works out.

Take this matrix, build B from it, look at the product C,
and check the diagonal entries of C.
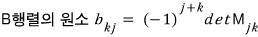
First I have to make B.
Matrix B — “every entry is a determinant of a minor matrix of A!!!!!”
Just understand it from the picture below.
We build B step by step.
Begin!!!

First, make this.
Plugging in actual numbers,

Next, we multiply by the sign factors.

Apply the rule,

And finally, take the transpose of this matrix!!!!!!

That right there is what we’re calling B!!!!!
The B we just built is

this.
Look — the subscript of b is kj.
The subscript of M is jk. Opposite of each other, right?!?!?! So all that info — including the final transpose — was already baked into the formula.
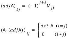
This B we just built is actually called (Adjoint A)!!!!
In Korean it’s… “soobanhaengyeol”?????? eh, let’s just call it adjoint…

The English meaning of “adjoint” is “to crack someone’s joint”!!!
Kidding, kidding. I’m told it means something like ‘follows along,’ ‘assistant,’ that kind of vibe.
So think of it like: given A, adjoint A follows along behind it!!!!!
Which means if you multiply A by adjoint A, no matter what else happens,
we at least know the diagonal entries of C. They came out to det A, right?
Let’s actually multiply those two together.
Every diagonal entry comes out as 33 lol.
I mean obviously, that’s how we designed it.
If it didn’t come out that way there’d be a ghost in here lol.
Now let me look at the off-diagonal entries.
Actually, let me spoil the punchline up front.
All the off-diagonal entries become 0 heh heh heh heh haha kya kya kya kya.

Let’s unpack this secret.
Time to flex some cleverness!!!!!
Honestly I personally struggled with this one….. (sob) math majors are seriously something else lol lol lol lol.
Anyway, here goes.
Let’s reuse the matrix from before.

We made adj from it.

Multiply them out.

It works, and
let me look at the entry I highlighted in red — row 2, column 3.
If we can figure out algebraically why that one is 0, we’ll understand why every other off-diagonal entry is 0 too.

OK OK OK OK OK OK OK OK OK OK. Time to mess with matrix A.
This is where I’m putting the brain to work.
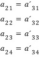
I’m going to swap row 3 of A with row 2. (Replace row j with row i.)
Call the resulting matrix A’.

Once we do that,

and also~

holds.

We organized things this way up above,
so here, I’ll first substitute in the a’ entries using the equation above.

And swap M for M’ too.

Wait?!?!?!?! Written out like this, the right-hand side is just det A’.

Now A’ was the matrix we forced into existence by tampering with A, right?
How did we tamper? We tampered to make it linearly dependent.
So det A’ = 0.
Therefore,

And that’s exactly why, whenever i and j aren’t equal, everything goes to 0.
(You see the principle, right?? If i ≠ j, you can always tamper with the matrix to make it linearly dependent, turn it into det A’, and the determinant of a linearly dependent A’ is just 0!!!!!!!)
So every off-diagonal entry of (A · adjoint A) is zero.
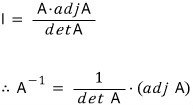
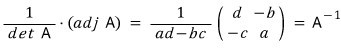
Everything we’ve been saying boils down to this:

(Note: the formula above came from expanding along rows. If we’d expanded along columns instead, we’d have gotten (adj A)A = (det A)I.)

(Verification)
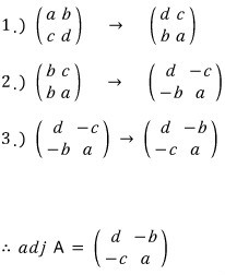
Let’s build adjoint A for the matrix

The recipe:
Build the matrix of determinants of minor matrices,
multiply by the sign factors,
finish with a transpose.

And then

This is something we’ve been doing over and over already, isn’t it???
So,

Whoa — the inverse-matrix formula I just blindly memorized in high school
actually had this meaning behind it all along lol. That’s genuinely fascinating lol lol lol lol lol.
Originally written in Korean on my Naver blog (2016-01). Translated to English for gdpark.blog.
Comments
Discussion happens via GitHub Discussions. You'll need a GitHub account to comment.