The Real Interest Rate
Breaking down why expectations run the whole economy, then working through how nominal and real interest rates actually connect — spoiler: bread prices are doing a lot of work.
OK so. Time to talk about expectations.
In our economy, people’s expectations matter. Like, enormously.
I mean it — if we don’t have a way to handle the effect of expectations, there’s pretty much nothing we can do. Game over, go home.
So this post is Chapter 14. Expectation!!!
People make decisions based on their own expectations. Always. So in a real sense, the economy of an entire country gets pushed around by what humans expect to happen.
Like — when people decide whether to hold cash or bonds, expectations are doing most of the work. Whether to buy stocks or not? Expectations. Tons of places where what people think will happen is what actually moves things.
OK I think we’ve justified why we have to learn this. Moving on.
The expectations chapter seems to kick off with nominal interest rates and real interest rates.
Nominal interest rate — you know, that number you see posted up at banks as you walk down the street. Yeah. That’s a nominal interest rate.
More precisely: the nominal interest rate is “the interest rate expressed in units of money.”
So then… what on earth is a real interest rate?!
Literally — how much does it actually grow…
Hmm. Let me just put it like this: “the interest rate expressed in units of goods.”
The rate at which money grows = nominal interest rate. The rate at which goods grow = real interest rate. Apparently.
Wait. Why do goods need to grow?!?!
Hmm, OK, goods do need to grow, and supposedly if we tie that to the nominal interest rate we can pull the real interest rate out of it. So let’s try!
First, the notation:

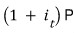
OK. Suppose I have P won in year t.
This P won, one year later, becomes

won. (The nominal interest rate, just chilling right there~~~)
Now say bread costs P won in year t. If the price level one year later stays exactly the same — perfectly flat — the bread lady can crank out more bread to match however much money has been added to the world, and she sells the whole batch with nothing left over. Clean.
But — prices aren’t just gonna sit still, right?!?! What kind of fantasy world would that be?
Nope. As long as banks are paying any interest rate at all, prices cannot stay still.
If that clicked — why the quantity of goods like bread has to grow — then now let’s get serious and build the Equation — no wait, the Relationship — between the real and nominal interest rate.

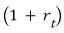
How much would

loaves of bread cost?!?!?!
I don’t know!! We don’t know, right?? Because we don’t know the price of bread one year from now!!!
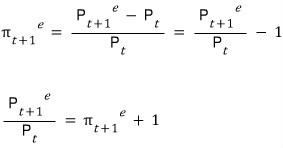
All people can do is predict what bread will cost a year from now.
Let’s say they predict it’ll be

won~
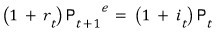
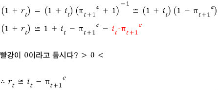
So, following the story we just told, the equation we have to write is

(Don’t skim past this one~)
OK!! We’ve got the relationship between the nominal and real interest rate!!!
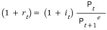
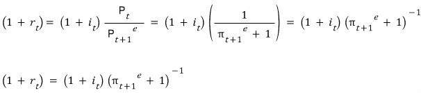
Now let’s mess with the equation a bit and try to leave just the real interest rate r(t) on the left-hand side.

Oh wait?!?!?!

I feel like I’ve seen this somewhere before?!?!
Pretty sure it was back around the Phillips curve.

Ahh!!!!

So

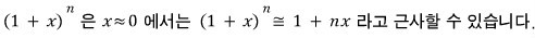
It’s a technique I pulled out once before, and the time has come to whip it out again.
None other than: Taylor Expansion.


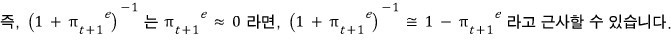
Sub this approximation back in up there:

Ahh…. this nominal-vs-real interest rate relationship — I’d learned it in like Mankiw’s textbook or whatever, where it just kinda showed up as if it were obviously true. But it turns out… this whole thing was actually an approximation?!?!
And the approximation was derived assuming

is close to 0,
but apparently in practice it doesn’t have to be anywhere near 0 — as long as it’s within ~20% or so, it’s still a pretty solid approximation.
From here on out we’ll write the thing above as an equality instead of an approximation —
but let’s not forget
that this thing was originally an approximation!!!
Originally written in Korean on my Naver blog (2016-01). Translated to English for gdpark.blog.
Comments
Discussion happens via GitHub Discussions. You'll need a GitHub account to comment.