Marginal Rate of Substitution
MRS is basically something we already know deep down — here's why ∆y is always negative on the indifference curve, plus a Coke vs. Pepsi reality check on diminishing MRS.
Alright, here’s another concept that’s basically a cousin of marginal utility.
And honestly? I’m pretty sure we already get this one in our heads. Like, deep down, we already know it.
It’s the marginal rate of substitution.
Let me jot down the definition first.
Marginal rate of substitution: assuming utility stays constant (i.e., we’re sitting on the indifference curve), it’s the ratio of $y$ the consumer gives up in order to grab a bit more $x$.
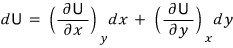
Notation:
$$MRS_{x,y}$$And this is stuff we actually covered way~~ back there, remember?!?!
You remember this diagram, right?!?!

This one.
And the ratio of $y$ given up to get more $x$ is —

which here becomes

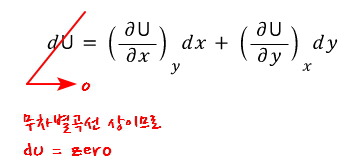
Now let’s take the limit $\Delta x \to 0$.
And as we add $(+)$ more $\Delta x$, the $\Delta y$ we give up is unconditionally going to be negative.
I mean, looking at the graph it’s pretty obvious, but why does it have to be $(-)$?!?!
Because of our assumption: “more of both $x$ and $y$ is always better.”
More of something = happier you. But sitting on the indifference curve means the change in happiness has to be zero. So you have to cancel out the happiness gain from the other good by losing some of it. That’s why.
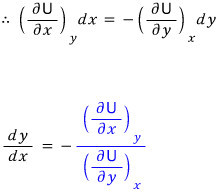
We can derive this in formula form too —

and


The fact that each of the blue terms is unconditionally positive — that’s something I nailed down in the post right before this one.
(The assumption “more is always better” is exactly what forces those to be positive~~~)
Now, there’s a law of diminishing returns for this MRS too, and it’s called — surprise — the law of diminishing marginal rate of substitution.
And this can actually (in limited special cases) be explained via the fundamental principle of diminishing marginal utility.
Hmm… anyway, let me try to walk through the law of diminishing MRS in a friendly way.


\
OK so — does any of this actually line up with how our economy works?!?!
Absolutely not?!
Show of hands time. heh heh heh
“Anyone here who, when they drink less Pepsi, feels personally outraged and demands more Coca-Cola as compensation?”
Raise your hands heh heh
OK then —
anyone whose utility function for Coke and Pepsi looks like

please raise your hand .
Shall we interpret this?!?!?


This absolute weirdo…….!!?!?!?!?!?!?!?
Full disclosure: I’m someone who drinks more than a can of cola a day, and I do prefer Pepsi (slightly less sweet than Coke)…. but even I am not quite that far gone,..
So basically — what I’m saying is, you can poke holes in this law of diminishing marginal utility we’ve been defending with our lives up to this point…!!!
But — I said “in limited special cases” up above, right????
Right. The clothing and food goods we looked at earlier are both goods with diminishing marginal utility. That’s why we could link them up with the MRS at all….
But if the utility function isn’t a “normal” one like above — say, a quasi-linear function — then the explanation above just doesn’t apply.
I think I might’ve muddied the waters a bit.
To recap:
- Diminishing utility = utility tapers off for one single good.
- Diminishing rate of substitution = the rate of substitution itself tapers off for two or more goods.
So really, there’s probably no reason to chain them together in your head. But the reason I went ahead and did the linking explanation anyway was just to get you thinking.
If it confused you — sorry!!!@@
OK so —
to handle these “weird” goods that don’t behave like the normal ones, apparently we use what they call “special utility functions.”
If I tried to cram all of those in below, this post would get hella long, right???
I’ll come back with them in the next post. haha
Originally written in Korean on my Naver blog (2016-07). Translated to English for gdpark.blog.
Comments
Discussion happens via GitHub Discussions. You'll need a GitHub account to comment.