Utility Maximization
Mr. Nodap's got 10,000 won and a choice between booze and smokes — here's how utility curves and the budget line team up to nail the one combo that maxes him out.
Skipping the intro, straight in.
Those lines we kept dra~~~wing earlier?
Those were utility curves.
The axes were quantity of good x and quantity of good y, so basically they were saying this:
I’ll just scribble one however.

OK that was the recap.
Now one step further.
Today’s question: “So how much can you actually buy????”
Say Mr. Nodap lives in a very ideal world. Income: 10,000 won. Alcohol is 1,000 won a bottle, cigarettes are 2,000 won a pack.
And shall we plot it on the axes from before?!?!??!?!
Like, just how much can Mr. Nodap actually afford with 10,000 won!!!!???

He can buy any combination sitting anywhere in the colored region.
And if he blows all 10,000 won with nothing left over, he buys the combinations sitting on the line.
So this line is called the budget line.
OK, so given that he has all these combos to pick from, all these scenarios,
which of the many many scenarios should Mr. Nodap actually go with???
The utility function answers that — and the utility function will also tell us there’s a “unique” best choice.

Whichever of the combos represented by the points above he picks, Mr. Nodap feels the same happiness.
So will he just grab one of those points at random?????
No no.
Because he can squeeze more utility out than that — his income still allows it.

Let’s bump the utility up a notch from here.
Then on the graph above, the utility function gets points plotted like this.

The newly added points give greater happiness than buying the combos on the previously existing points.
OK, since a minute ago I’ve been plotting red points and black points in different colors,
here’s what they mean:
red = a combination in the region his income does NOT cover.
Black points = the alcohol & cigarettes combos he can buy with his income!!!
So will Mr. Nodap pick from the black points he can see?!?!?!
Won’t he keep pushing utility higher until it lands on a single point that maxes utility out,
hunting for the alcohol & cigarettes combo that maximizes utility???
OK, now let’s wipe off the names “alcohol” and “cigarettes,”
call them variables x and y, assume x and y are real and continuous, and say the same thing
one more time.
Exa~~~ct same logic. Just minus the numbers.
The price of good x will be written as

and the price of good y as

And income I’ll just call ‘income.’
If we draw the whole discussion above into one picture,
it looks like this.

He buys the quantity combination of x and y given by the exact point where his utility function and his budget line are tangent~~~
(That’s because the assumption “higher utility is better” is baked in alongside.)
Also~~~,
hmm~ did you catch this?!?!? There was a sneaky implicit assumption that income is constant.
That’s why the logic above holds. If we said Mr. Nodap could also lower his income to maximize utility,
the whole thing collapses. (For the record, later we’ll also look at the case where we hold utility constant and tweak income instead.)
Oh — and as for why the budget line’s intercepts come out the way they do,
I’ll just scribble a few lines of formula and leave it at that.

Heyyyy it’s not over yet.
Now we’re going to double-check that picture using the concept of Importance.
We’ll use importance of x, importance of y — it’s not hard, it’s just common sense.

Say “Mr. Rational” is sitting at the red point above.
This guy seems to value x more than y~
Because

this is saying: giving up Δy and grabbing exactly Δx gives the same utility!

But what if, instead of giving up Δy and taking the Δx that yields the same utility, you grab a smidge more — Δx’???????
Up to Δx it was a wash like before, but since you grabbed ‘‘‘more’’’ Δx’ on top of that,
and more is better, the utility you feel ends up bigger than before.
And if his income allowed him to give up Δy, it’ll also let him buy that extra Δx’……..
But the satisfaction is even bigger,,,,,,,
So what would you do in his shoes???
Wouldn’t you give up Δy and grab more than Δx — that Δx’ — to make utility bigger than before??????
And then at the next point, he runs the same call again and again and again and again.
(That’s why his name is Mr. Rational.)
Now!!!! Got it?!?!?! Following this kind of mechanism,
there’s a unique bundle of goods that maxes out utility at his income level,
and as everyone probably noticed by now, the location of that spot
is where the budget line and the utility function are tangent.
Make sense????
OK, time to smash it with formulas.
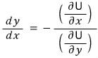
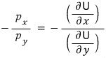
First — since we know the “tangency” concept, the focus is on slope.
The slope of the budget line is

so
the slope is

And the slope of the tangent on the utility function
would be dy/dx — but since this is a two-variable function right now, to express that,

this guy.
In econ textbooks

it’s written like this. Let me derive it real quick.

And ““the tangency point”” expressed in math
means a spot where the slopes are equal, so the first tangency condition is

That is,

this is the condition.
Then what about a spot that’s not tangent???
Look at what this term means.


Can’t you read it like this????
If that’s tough,
you can also think of it this way.

That is, if

is the state we’re in,
utility gain per won spent on good x > utility gain per won spent on good y
that’s the situation, and if you’re rational here, what do you do????
If it were me, I’d try to push utility up by spending a bit more on good x.
(The formula is literally saying it rises more than if you bumped y up, right.)
So say we nudge it up a little.

Then at the point we’ve moved to,
MU_x will have shrunk a little, by the law of diminishing utility.
(Diminishing utility was: the more you already have, the smaller the bump in U from getting one more, right?!?!?1)
MU_x shrinks a touch.
Even so, if the inequality is still >
what do you do???
Spend a little more on good x!!@@
And on like that, repeating the same situation over and over~~~~,
eventually

it lands here.
And in the situation where they’re exactly equal like that,
since either direction is the same,
this person stops repeating the above and just stays put.
So it has no choice but to drift toward equilibrium like this……….
Convinced? lol
Originally written in Korean on my Naver blog (2016-07). Translated to English for gdpark.blog.
Comments
Discussion happens via GitHub Discussions. You'll need a GitHub account to comment.