Substitution Effect, Income Effect, Inferior Goods, and Giffen Goods
We break down what actually happens when a price drops — splitting that bump in consumption into the substitution effect and the income effect, then going deep on inferior and Giffen goods.
Alright, this time I’m gonna take the discussion we’ve been having and dig into it properly.
Hmm… well, first off — what difference are we even gonna look at?
I didn’t actually mention this before. I’d just been sketching the diagrams however I felt like, on a need-to-know basis. But now we can actually understand the thing properly.
OK OK OK OK, so depending on what shape the utility function has, when the price of good x falls, utility does go up, but —

utility could go up looking like this,

or utility could go up looking like this.
So this post is basically gonna be us studying “what difference does it make depending on how utility increases?”
Let me just blurt out the conclusion first.
When income goes up, or when the price of a good falls, the resulting bump in consumption of good x can be split into 2 pieces.
Inside that increase in x consumption, there’s:
- the chunk of the bump that comes from the substitution effect — the substitution effect kicked off by x getting cheaper
- the chunk of the bump that comes from the income effect — the income effect kicked off by x getting cheaper
We’re gonna study these two chunks. Let’s go.
First, a quick review.

A person has the red budget line, then the price falls and the budget line turns blue, and they pick a consumption bundle that maximizes utility.

They were consuming this,

and now they consume like this.
That’s stuff we already covered.
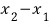
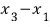
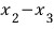
The part we’re gonna study from here on is — consumption of good x goes from $x_{1}$ to $x_{2}$, and within that increase

there’s the chunk from the substitution effect (substitution effect) & the chunk from the income effect (income effect). Both of those pieces are sitting inside it.
OK, let me describe it in detail.

Say the situation looked like this. To max out utility,

they were consuming this.
Then the price of x fell.
Now, the way a person actually feels about it — they don’t think “oh, the price of y stayed put and just x went down.” They think “relatively, x got cheaper, and relatively, y got more expensive.”
So the y-intercept moves down, and the x-intercept moves in the (+) direction. (Change in relative prices.)

The budget line shifts like this.
The person takes the relative price change and slides it down to “the level that gives me the same utility as before.”
So now, picking what to do —


they pick this. Same utility.
But if they make that choice????????????????????????
There’s money left over.
<Let me make this whole thing a bit more relatable by switching to chicken skewers and tteokbokki.
Say tteokbokki was 3,000 won and chicken skewers were 2,000 won, and then suddenly chicken skewers drop to 1,000 won — the price from 10 years ago.
Speaking for myself, I think I’d cut back on tteokbokki a bit and load up on chicken skewers instead.
So at “the level that gives me the same happiness,” if I shave off some tteokbokki and add some chicken skewers — (THIS RIGHT HERE is what the substitution effect is)
— some money is left over. That’s what we’re saying.>
How much money is left over??????

This much.
So with that leftover cash, the consumption of tteokbokki and chicken skewers both get bumped up, each in their own appropriate way.

Like this,

it slides over to this.
Now now now, let me phrase the “money left over” thing a different way.
“The price of x falling” is relatively the same thing as “my income going up.”
Yes. That right there is the income effect.
So: when one side’s price moves, relative purchasing power shifts, and people buy more of the (now relatively cheaper) thing to max utility — substitution effect. And from doing that, money is left over, and that leftover gets used to crank up consumption further — income effect.
And so, the bump in consumption of good x

decomposes into —
substitution effect:

this much,
plus income effect:

put together like this.
Since I was building up the story, I ended up explaining the substitution effect first and the income effect after.
From here on, since we’ve got all the moving parts, I’ll flip the order. Easier to see things that way.
The good x we just looked at (chicken skewers) saw x consumption go (+) from the substitution effect and (+) from the income effect. But here’s the thing — every good can be (+) on the substitution effect, but not every good is (+) on the income effect.
Why????? Because inferior goods exist. We learned about those earlier.
First case.

Price of x fell, new budget line came out like this, and the person did increase x consumption.
But to actually see the income vs. substitution split, let me parallel-shift the blue line like so, and draw it in green.

Got it.
Thanks to the substitution effect, moving from the red dot to the green dot, x consumption did go up. But on the income-effect leg — green dot to red dot — x consumption didn’t go up at all.
(This case, by the way, is also what you get when the utility function is quasi-linear. You’ll see it in practice problems later.)
Make sense??!?!
OK so now — because of the inferior-good thing (consumption goes down as income goes up), the income effect can come out negative.

Sure, x got cheaper, so x consumption did go up overall. (Red dot → blue dot.)
But when you separate out the substitution effect and the income effect:
- Substitution effect: x consumption went up a lot from red dot to green dot.
- Income effect (green dot to blue dot): can come out (-), like this.
During the move from green to blue from the income effect, x consumption actually decreased. ~~~ Still, the substitution effect was big enough to swallow the whole negative income effect, so net-net x consumption did go up.
But there are cases where the substitution effect can’t fully cover the negative income effect.
Let me just throw the graph up.

Substitution effect (red → green) is (+).
But the income effect (green → blue) makes the drop in x consumption even bigger, and the net result is — consumption falls when price falls.
This kind of good — a good whose consumption drops in response to a price drop — is called a Giffen good!!!!
OK OK OK OK OK OK.
Inferior good and Giffen good — confusing, right? Let me organize this.
Goods where the income effect runs in the (-) direction → those are called inferior goods.
So inferior goods are the ones with a (-) income effect. And among those, some have a (-) so brutally large that it overwhelms the entire substitution effect and flips the change in total quantity consumed to (-) as well — those → Giffen goods.
What I want to nail down:
- Inferior good: consumption goes down as income goes up.
- Giffen good: when price falls → consumption falls (reason: because the negative income effect is too large).
So for a Giffen good: price ↓ → consumption ↓, which means it shows up on the demand curve.

(Pay attention to the axes please.)
An inferior good, on the other hand, doesn’t show up on the demand curve. Because goods whose (-) effect isn’t strong enough to hit Giffen-good levels still see consumption go up from the price drop — however small that bump is.
But Giffen goods are a subset of inferior goods. I think we can put it like this: a Giffen good is an inferior good where the inferior-ness is cranked all the way up.

http://gdpresent.blog.me/220904336701
![]()
Microeconomics I Studied #47. Let’s solve Chapter 5 problems
The earlier parts were easy, so I just uploaded photos and glossed over them, but from here on I’ll type things out as much as possible …
blog.naver.com
Originally written in Korean on my Naver blog (2016-07). Translated to English for gdpark.blog.
Comments
Discussion happens via GitHub Discussions. You'll need a GitHub account to comment.