Untitled
We pin down TC, MC, and AC for a Cobb-Douglas production function and find they all collapse to the same constant α — constant returns to scale is why.
Last time we cracked open TC, AC, and MC.
That was kind of the big-picture sweep — a general look at how these things show up in the wild as social/economic phenomena, right???
OK, now let’s actually pin them down with something concrete. Cobb-Douglas, undergrad flavor — that’s our production function for today.
Specifically:
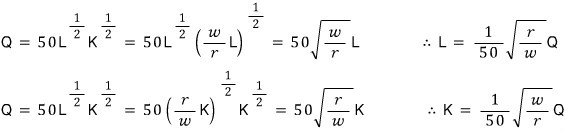
$$Q = 50L^{\frac{1}{2}}K^{\frac{1}{2}}$$First thing we want: as $Q$ goes up, what’s the minimum TC at each $Q$?
Total cost is just
$$TC = wL + rK$$Yeah, that’s nothing — that’s just the total cost equation. What we actually want is the (minimum) TC as a function of $Q$. heh.
So let’s start with the tangency condition.

The two gradient vectors have to be parallel, so

And what falls out of this is
$$rK = wL$$Now — this condition, where does it actually live???
It has to live on the isoquant. So plug it back into the isoquant:

Which means TC is
$$TC = wL + rK$$
So the TC function for the Cobb-Douglas model is

And once TC looks like that, MC and AC fall out in the exact same shape.
The slope of the tangent line at every single point: all α. The slope from the origin at every single point: also all α.

Wait — that’s pretty different from what we had before?!?!?1!!!
Why does it come out like this?
My hunch: it’s because the Cobb-Douglas we’re using here is constant returns to scale. That’s gotta be it.
Originally written in Korean on my Naver blog (2016-07). Translated to English for gdpark.blog.
Comments
Discussion happens via GitHub Discussions. You'll need a GitHub account to comment.