Chapter 7 Practice Problems
Working through Chapter 7 cost-minimization problems with gradients and isoquants — turns out it's the exact same math as the utility-function stuff, just with different names.
From around Chapter 7 onward, unlike the utility function stuff we did before, I started leaning on math that sits all the way at the back of a general math/calculus textbook.
The mental picture I keep going back to: the original cubic-y function (a plane, or a curved surface), and finding the optimal point using the gradient.
But — let me sneak in a small comment here — what we did back in Chapter 5, and what we’re doing now, every single piece of it: the names are different, but if you peel the names off, the structure is exactly the same.
So if this earlier post (http://gdpresent.blog.me/220904336701) didn’t quite click,

Chapter 5 Practice Problems [ Microeconomics I Studied #47 ]
The early stuff was easy so I just tossed up photos and skimmed past it, but from here on I’ll type as much as I can out properly (sob)(sob)(sob)ugh…
gdpresent.blog.me
…going back and getting that one down is honestly not a bad move.
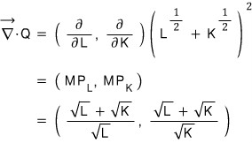
Prob. 7.7
The production characteristics of aircraft fuselages are described by a constant elasticity of substitution production function:
$$Q\quad =\quad \left( \quad L^{\frac {1}{2}}\quad +\quad K^{\frac {1}{2}}\quad \right)^{2}$$And the marginal products come out as:

Price of labor: $10 per unit. Price of capital: $1 per unit.
Find the cost-minimizing combination of L and K for a firm that wants to make 121,000 fuselages.

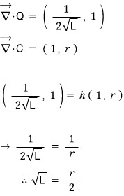
In this coordinate system,
$$121000=\quad \left( \quad L^{\frac {1}{2}}\quad +\quad K^{\frac {1}{2}}\quad \right)^{2}$$the gradient of the isoquant is

and the gradient of this one is

The condition for cost minimization: those two vectors have to be parallel.
And “parallel,” written as an equation, just means: the two vectors are equal up to scalar multiplication. That’s it.
So the cost-minimizing condition is

which gives

That’s literally just “they’re parallel,” nothing more. And since this has to hold on the isoquant, we plug it into the isoquant.
(What we’re doing right now, mathematically, is exactly!! the same move as plugging “the two slopes are equal” back into the utility function in the utility-function chapter.)

Prob 7.12
A cost-minimizing firm has the production function
$$Q\quad =\quad LK$$with
$$MP_{L}\quad =\quad K$$and
$$MP_{K}\quad =\quad L$$Price of labor is
$$w$$and price of capital is
$$r$$When $w=\$4$, $r=$2$, the firm's total cost is \$160. Now suppose factor prices change so that wage $w$ is 8 times the rental price $r$, and the firm can adjust its factor mix without changing total output. What’s the new cost-minimizing factor combination?
So, stripping the problem down, what we’ve actually been handed is
$$Q\quad =\quad LK$$$$160\quad =\quad 4L\quad +\quad 2K$$and that’s it.
Same drill. Find the gradients of the isoquant and the cost, write down the “parallel” equation, plug back into the isoquant.

(I used the letter $c$, taken from Cost.)
From here,
$$h\left( \quad 4,\quad 2\quad \right) \quad =\quad \left( \quad K,\quad L\quad \right)$$we get the equation:
$$\frac {K}{4}\quad =\quad \frac {L}{2} \\ K\quad =\quad 2L$$That’s our condition. Plug it into the isoquant:
$$Q\quad =\quad LK\quad =\quad 2L^{2}$$…wait. They never gave us the total output.
OK, plug into the iso-cost line instead.


Now for the new prices:
$$w\quad =\quad 8r$$Let’s run it.

So the two equations we now have boil down to this:

Find the $(L, K)$ pair that produces 800:

Prob 7.15
A paint company’s production function is
$$Q\quad =\quad K\quad +\quad \sqrt {L}$$Price of labor $w = \$1$ per unit, price of capital $r = $50$.
a) Show that the cost-minimizing input combo for $Q = 10$ uses no capital.
b) Holding $Q = 10$ and $w = 1$, how low does the price of capital have to drop before the firm starts using any capital?
c) Holding $w = 1$ and $r = 50$, how high does $Q$ have to climb before the firm starts using any capital?
a) Let’s go


That’s the tangency condition. And since the tangency point has to live on the isoquant, plug it in.

b) Let’s go


Same logic — push it into the isoquant!

c) Let’s go go go


Plug into the isoquant!

…has to hold.
Prob 7.26
A firm uses three inputs — capital $K$, labor $L$, materials $M$ — to make output. Production function:
$$Q\quad =\quad K^{\frac {1}{3}}\cdot L^{\frac {1}{3}}\cdot M^{\frac {1}{3}}$$Prices: $r=1$, $w=1$, $m=1$.
a) If the firm wants to produce $Q$ units, what’s the long-run cost-minimizing solution?


Plug that condition into the isoquant:

b) The firm wants to produce $Q$ units, but capital is fixed at
$$\bar {K}$$What’s the short-run cost-minimization solution?
A 3D problem collapses to a 2D problem. That’s all this is.

And by the same logic the cost line gets rewritten in 2D. Like so:

At which point — it’s literally the same problem we already solved.


Then push it back into the isoquant.

c) When $Q = 4$, the long-run cost-minimizing capital quantity is 4. When capital is fixed in the short run at
$$\bar {K}\quad =\quad 4$$show that the short-run and long-run cost-minimizing quantities of $L$ and $M$ are identical.
…wait, what? They told us the long-run min sits at $(4, L, M)$. And then in the short run, with
$$\bar {K}\quad =\quad 4$$the min would also sit at $(4, L, M)$…
Isn’t that just… the same thing?
As long as $r, w, m$ don’t budge, why would anything change?
Just writing the conclusion:

Prob 7.30
A blueprint ($B$) is made under a fixed production process: either a computer ($C$) runs for 1 hour, or a draftsman ($D$) draws by hand for 4 hours.
($C$ and $D$ are perfect substitutes — so for instance the firm could make a blueprint with 0.5 hours of $C$ and 2 hours of $D$.)
a) Write down the production function for this process.
Every hour of $C$ → 1 blueprint pops out, pop pop. Every 4 hours of $D$ → 1 blueprint pops out, pop pop. Calling $C$ the “hours” of computer use and $D$ the “hours” of draftsman use:

b) Computer time costs
$$P_{c}$$= 10, and the draftsman wage
$$P_{D}$$= 5. The firm wants 15 blueprints. To minimize cost, how should we pick $C$ and $D$? Draw the isoquant for 15 blueprints and the isocost line on a graph with $C$ on the horizontal axis and $D$ on the vertical.
This time both the isoquant and the isocost are straight lines.
Isoquant: $15 = C + (1/4)D$, which we can rewrite as $D = -4C + 60$. So a straight line with slope $-4$ and $D$-intercept $60$.

Drawing it like this works fine. And the isocost is

so slope $-2$, and the $D$-intercept is just cost divided by 5:

There are a bunch of configurations to consider, but $C$ and $D$ both have to land in the positive region for an intersection — and the $(C, D)$ pair that minimizes cost is

That’s what we needed.
cost / 5 = 30
cost = 150
So the minimized cost falls right out, just like that.
Originally written in Korean on my Naver blog (2017-01). Translated to English for gdpark.blog.
Comments
Discussion happens via GitHub Discussions. You'll need a GitHub account to comment.