The Relativistic Doppler Effect
We connect the classic Doppler effect to time dilation, and it turns out moving really fast changes the frequency you perceive even when you're not getting closer or farther away!
In the previous post we learned that time is relative.
Hmm~~ we saw that there’s a discrepancy in time between something moving and something at rest@@
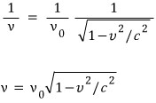
Alright then, now let’s look at ‘period’ instead of ’time’!!!!
The period, which is ’the time it takes for one oscillation in a wave’!!!
Looking at the period should be totally the same concept as time, so I expect it to be easy!!!!
Then let’s start!
“Time flows (relatively) more slowly for something that is moving relatively.”
↓
↓
↓
“The period of a wave for something moving relatively is relatively longer.”

If we take the direction in which the Source and Object approach each other as (+) for their velocities,
the frequency of the sound source (Source)

(nu-zero) and
the frequency heard by my ear (Object)

have the relationship

!!
(I’ll skip the derivation of the Doppler effect formula we learned in high school.)
If we now try to understand that formula,
when moving toward each other it sounds higher-pitched than what the source emits, and when moving apart it sounds lower-pitched~~
We learned this Doppler effect in high school, and if you think back carefully to that time,
the effect when my ear moves vs. when the speaker moves must obviously be different!!!(ah, of course~)
Now, let’s connect that Doppler effect to the ’time dilation’ we learned earlier!!!
Before that, now, instead of thinking of the speaker moving with respect to my eye, or my eye moving with respect to the speaker,
let’s describe the motion with respect to the medium!!!
Also, because it’s annoying to keep saying medium medium, let’s think of it as light, which doesn’t need a medium
since these guys don’t need a medium!
So let’s say something shaped like a speaker, like a lamp,
is blinking a red light on and off at regular time intervals!
First, let’s look at this case.
The eye is as small as a ‘point’, while the speaker, relative to it, is freaking enormous!!!!!!
And, if the eye is moving at constant velocity upward!!!!(surely it has nothing to do with the Doppler effect since it’s not getting farther away,)

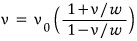
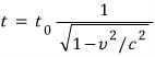
Here the relationship between t and t-zero, just like the relation we derived earlier,
since the eye is moving at velocity v,

it’ll be this.
But

can we call this the frequency?!?!?!!!

What I want to say here is that even though it’s clearly supposed to be a situation with no Doppler effect,
if you move at a freaking fast speed… you end up being able to feel a difference in frequency!!!
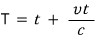
Alright, now, when the eyeball moves in the horizontal direction!!!!!

Unlike when it moves vertically, now the velocity v will clearly have an influence too!!!!!
(on top of time dilation already happening because of the motion, it’s also moving in the direction where signals are received later…)
How much more delayed will the periodic signal be received compared to the previous situation!??!?!!!!
Since you only receive the signal after going an additional vt,,,,,

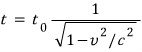
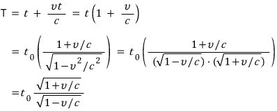
That is, if we call the period of the signal my eyeball sees T — large T —,

adding this on top,

if we add this in too,

Then shall we head toward ‘frequency’ like before?

Now let’s try to understand this formula again.
I derived this formula taking v to be in the -> direction, this way.
So if we put -v in place of v in this formula, what does it mean~
It means the case where they’re approaching each other….!!!!!
When approaching!!!!!!!

The red part is greater than 1!!!!!!!!!
If the light the source emits is red light, the frequency my eyeball sees

is saying it’s seen at a higher frequency than nu-zero,
so it means it could be seen not as red, but as one of the colors of the rainbow (orange-yellow-green-blue-indigo-violet)!!
Originally written in Korean on my Naver blog (2015-08). Translated to English for gdpark.blog.