Length Contraction in Special Relativity
Muons from cosmic rays should die way before reaching Earth — so why do we detect them?! It all comes down to length contraction and time dilation in special relativity!
Waaaay~~~ back when I first did a preview of special relativity, I said that time and “length” change,
but in Interstellar, the representative movie that used relativity as its subject,
we only saw the distortion of time,,,,???????????
‘Change in length?’
It seems like a bit of an unfamiliar story…..T_T
Hmm~ what does that mean~~~ now let’s have a discussion.
There’s a particle called the muon.
These muon guys

exist,

also exist… their mass is about 200 times that of an electron???? well anyway, there’s this kind of particle,
and where are these guys generated? They’re said to be generated by something called cosmic-rays (cosmic ray — not ship, but ray) coming into the atmosphere from outside space.
And as the cosmic-ray pierces through the atmosphere,

,

it comes in as these!!!!
So now on Earth,
we can see some of those that reach the Earth.
But cosmic-rays are light (?) with a frequency one step higher than γ-rays,
wait, they can be seen as electromagnetic waves, which means we can produce cosmic rays inside the Earth by causing nuclear reactions!!!
This means that muons, as a particle, are not only seen as things coming down from space,
but can also be seen on Earth,
so when we make muons on Earth through experiments and study them,
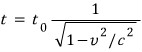
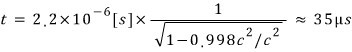
we can find out that their average lifespan is about 2.2μs (after 2.2μs passes, they turn into another substance?)
And we can also find out that these guys, when they move, move at a speed of 0.998c.
Okay so now let’s look at the sky
Look at the sky~
Hmm~~~~

,

gets generated~ and from that moment, let’s see how far it moves in 2.2μs~~~~

Oho?!?!?! Really???
But the atmosphere is at least not 660m…
Then what are the Muons that reach the Earth outside the lab!!!!?
Now here, what we have to think about is,
we have to consider that they move at a speed of 0.998c!!!
By the muons’ own watches, they’ll definitely live for 2.2μs and then kick the bucket, that’s true,
but from our standpoint, muons moving at 0.998c will appear to live for a time a bit longer than 2.2μs before they kick the bucket
How much?????????

This much, I guess~

When we see it from Earth, the muon moving at 0.998c will appear to live for 35μs,
and the distance traveled at 0.998c for 35μs is about
whoaaa 10.5Km
aha~
I figured out the identity of the muon discovered outside the lab!!!!!
To our Earthling eyes, it makes sense that it lives for 35μs and goes 10.5km during that time.
But, the muon itself definitely lived for 2.2μs, and during that time it must have gone 660m????
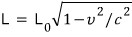
So now it’s time to talk about “length contraction.”
What does length contraction refer to~

If, to an Earthling’s eye, a 10.5km stick whooshed!!!! right past the muon,
then from the muon’s standpoint, a 660m stick swooshed!!!! past it!!
(Now with this, I think you can get a feel for what length contraction is trying to say….!!!?!?!?)
Okay so now moving the viewpoint to the muon, as a total summary,
a muon moving at 0.998c sees a stationary 10.5km stick as 660m.
↓
a stationary muon sees a 10.5km stick moving at 0.998c as 660m.
Conclusion:
the stick seen by an object moving (at nearly the speed of light) appears shortened in the direction of motion


Originally written in Korean on my Naver blog (2015-08). Translated to English for gdpark.blog.