Relativistic Mass, Momentum, and Energy
We crack open why mass isn't as intrinsic as you thought by watching two particles collide across reference frames to see how relativistic momentum really works.
To spoil a tiny bit of what I’ll be covering here, we’re going to look at “relative change of mass”
Whaaat!!!!! Wasn’t mass supposed to be intrinsic?!! What’s this nonsense now!??!!
Go Go Go Go Go Go Go Go Go Go Go Go Go Go Go Go Go Go Go Go Go.

To talk about the conservation of momentum, I drew this kind of picture..
From now on we’ll only observe two particles.
And those two particles are each in their own separate system.
From a relative point of view, let’s watch how p=mv is conserved.
In other words,

we want to confirm that momentum is conserved whether seen from the S frame or the S’ frame!!!! (We’re gonna collide them in a moment)
(At t=0, the characteristics of A and B in the reference frames are identical…. these kinds of obvious “identical” assumptions don’t need to be emphasized, right? Because they’re obvious)
For the relationship between the reference frames S and S’, S’ moves with respect to S
in the +x direction with a relative velocity of v!!!!
(Whatever speed S is moving at, we can just consider the relative speed between the two frames to be v)
β
Now let’s make them collide!!!!


So let’s say that, and now these guys are going to collide somewhere?!
After that collision, A bounces back in the opposite direction (-y direction) with speed

β ,
and B also bounces back in the opposite (+y) direction with

β.
(The speeds were the same, and after the collision the speeds are the same too. It’s a perfectly elastic collision.)
β
β
β
β
βThere’s a caveat.

is the velocity when S looks at A.

is the velocity when S’ looks at B.
βPlease keep this in mind
β
Now let’s imagine.
When S looks at A,
clearly A appears to go straight up
and come straight back down,
and when S looks at B,
B would appear to come diagonally down-right (β)
and after the collision go diagonally up-right (β), right?!?!!!
Uh but when S’ looks at B,
clearly S’ would have seen B go straight down and then straight back up,
and when S’ looks at A,
it would look like A came up diagonally up-left (β), and then went diagonally down-left (β).
Like thisβ
You followed the situation up to here, right???β
β

If the two were originally separated by Y vertically,
from S’s perspective, to A it would say
“Oho~ you collided at y=Y/2 and came back down?^^”
β"From your collision until you came back to me, it took

^^~"
and from S’’s perspective, to B it would say
“Yoohoong~~~~ you collided at y’=-Y/2 and came back^^”
“Going and coming took you

^^~”
βThat’s what they’d be saying
β
Okay! Now the relative point of view!!!
Let’s have S look at B.
How does B look from S?????
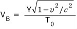
B travels

that distance!!!!!(this contracted distance)
and how much time does it take, well,β

that’s what we have to say. Because right now it’s the time that S is watching B for,
it’s

. (It’s not V’_B. There’s no prime.)
Therefore

this is the velocity when S looks at B.
During the time T_0 that S was looking at A, B moved by that contracted distance.
Now after the collision!!!
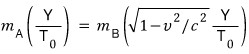
In S’s frame, momentum must clearly be conserved, right?!?!?!
OK, let’s write out the momentum conservation equation.β
It was clearly a perfectly elastic collision.
Whether before or after the collision, there’s no change in A as seen by S, or B as seen by S.
That is,

into this momentum conservation equation,
we’re going to plug in what we found,

.

Now if we say this a bit differently,
“for momentum to be conserved, the mass of A and the mass of B have to be different” β you can tie it together with a statement like that.
No no, I mean they have to appear differently!!!!
Specifically, when S looks at it, B’s mass appears different…..
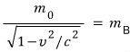
And how much does it appear different?


is called the proper mass (rest mass).! : the mass measured when at rest relative to the observer.
(When S looks at B, B is stationary, and that’s the mass measured then)
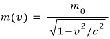
Ah… then what we originally called ‘mass’
can be thought of as a ‘function’ that depends on velocity v.

Like this…..
Then momentum too, in fact,

can be seen like this!!!
Einstein apparently expressed this exact~~~ same meaning like this.

he wrote it this way
This is also introduced in the book, but
the idea of m(v), which carries the meaning that the mass itself changes with velocity, apparently didn’t sit well with him, so
Einshtein used a coefficient gahmma (Ξ³) that changes with v and wrote it like this..heh.hehheh
(I kiiinda get what he’s saying heh heh heh)
Wait?!?!?!?! But
that thing everyone has probably heard at least once β
the claim that as velocity approaches the speed of light, mass becomes infinite β this is where that comes from!
And that means that no particle can be accelerated to the speed of light,
(You’ve heard this kind of talk, right!??!?heh heh heh)
β
β
β
β
β
So now this time it’s the story about energy heh heh heh
That famous M C squared

what does this mean~~~~~~
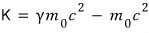
As the first step, we’ll re-derive the Kinetic Energy with relativistic momentum.
Originally, for a free particle, Kinetic Energy (Kinetic E) is defined as

.
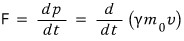
And force F is defined from the outset as the rate of change of momentum p with respect to time,

we define ‘force’ relativistically like this
and we’ll go to Kinetic Energy.
Kinetic Energy is~~~

There.fore


this is what it means….heh heh hehββ
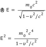
Now let me show you that when v is small compared to the speed of light c,
that is, in the classical mechanics limit, this equation becomes

.ββ
β

Another another another another again the important point this equation implies is exactly
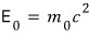
“mass and energy can be viewed as the same thing.

" (The principle of mass-energy equivalence comes from here.)
This also makes the following possible.
-When a particle with some mass dis.a.ppe.ars-
Errerrrrrerrrrllll!!!?!?!?!? Where did the mass go!??!?!??!
If it disappears and nothing is left, it violates the law of conservation of mass, right!??!?!
Ahh it went into energy, OK OK OK OK
like that…heh
And also according to the equation above,
the total energy of something going at ~~~nearly the speed of light has its denominator approaching 0,
and the total energy diverges to infinity, same conclusion as before.
That is, to accelerate an object to the speed of light requires infinite energy,
and this implies that it’s impossible to accelerate anything to the speed of light…..gasp!
For better understanding, and because there’s a fun part, I’ll transcribe it.
When 1 kg of dynamite explodes, 0.000000000006 kg of mass actually disappears,
but that value is too small to be measured or felt.
However, the energy emited at that moment is about 5 million J, which is too large to say it can’t be detected.
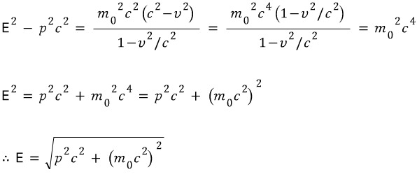
And laastly, let’s look at the relationship between energy and momentum and wrap up!!!!!!
This is just playing around a tini~~ny bit with the equations,
so let’s finish simply!!!
ββ
(If we’re going to talk a bit more difficultly, the relationship between energy and momentum β
that is, the relationship between E and p β is called a dispersion relation. So the relation between E and p below is meaningful.)



What this equation implies is precisely
that m-zero (rest mass)=0 is possible!!!!!!
Even if the rest mass is 0, it’s saying you can have energy via E = pc,
(Actually the thing that has m=0 and has energy is electromagnetic waves!!! light!!!!!!!)
Light’s energy is E = pc (m=0)
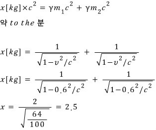
Ex. 1.6
A stationary object explodes and splits into two pieces each of mass 1 kg, and each moves at 0.6c relative to the original object.
Find the rest mass of the original object.

Ex. 1.7
Solar energy reaches the earth at a rate of 1.4 kW per 1 m.^2 of earth’s surface area perpendicular to the direction of the sun.
Due to this loss of energy, how much mass does the sun lose every second?
<The distance between the sun and the earth is approximately 1.5x10.^11 m>

P.S.
Did you know?
I’ve converted all my blog posts into pdf
and am selling the pdf materials :-)
https://blog.naver.com/gdpresent/222243102313

Blog post pdf (ver.2.0) sale (Physics I studied, Finance I studied)
Purchase info is below ~βββHello! βIf there are parts of my blog posts you aren’t satisfied with, or too much…
blog.naver.com
Originally written in Korean on my Naver blog (2015-08). Translated to English for gdpark.blog.