The Rayleigh-Jeans Formula and Blackbody Radiation
Diving into Chapter 2 with blackbody radiation — what a black body even is, how to fake one in a lab, and why standing waves are the secret behind that glowing-sword spectrum!
Chapter 1. Done with relativity, and now it’s Chapter 2. Wave-particle duality, hmm~~
Just looking at the title, I can already tell what this is going to be about!
Stuff I learned in high school like the photoelectric effect or Compton effect, that’s what we’re gonna do…..
Alright, let’s dive in.
So the first thing up is the black body radiation experiment?
Then first, let’s figure out what a black body is!!!!! In English it’s “black body,” so black-body???? is black body????
Well~~ a black body is defined like this,
It’s “something that absorbs ALLLLLLLLLLLLLL light regardless of type, just sucks it all up”!
(An apple that we see as red looks red because the apple absorbs everything except red and reflects only red light, right? A black body absorbs everything and reflects no light, so it would look freaking totally pitch black in the world)
So, that means, a black body doesn’t exist on Earth!!!!! haha It’s an ideal substance!@!!! (as if such a thing exists anywhere)
Then can we make something like a black body somehow???????????????????????
We can make one like this

(Light goes in and follows a cleverly designed path so that it can never come back out! haha neat, right)
So then, what is black body radiation studying~~~
Talking about it along with the picture above,,, what it studied is

It studied that light right there

And it turns out to be like this….
But what the graph above shows is something we already know empirically..
Haven’t you at least once been on a field trip to POSCO around elementary school? haha (I’ve been there heh heh?heh?heh?heh??^^)
Aaaahhhh no wait, let’s think about a blacksmith making a long sword
When quenching, the sword glows reeeeed, and if you heat it more it turns yelloooow, can’t you kinda picture that?… haha
Isn’t that kind of obvious empirically?!??????
Okay so if there’s light that’s entered the black body, it absorbs that light’s energy and re-emits it as radiation energy,
And the light that comes out has a distribution like the one above… (empirically too)
Then for the light energy to be absorbed by the black body inside there, the light in there must be a standing wave!!!!!!!!!!!!!!!!!!!!!!!!!!!!!!!!!
(Things that aren’t standing waves either cancel each other out and disappear~ so only waves that satisfy the standing wave condition remain!!!!)
Now, to make the thinking easier, let’s drop a dimension and think 1-dimensionally!!

The square thing is the black body, and for light inside it to keep~~~ bouncing back and forth,
That wave has to be a standing wave~~~ that’s what we talked about above, right!?
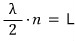
You learned standing waves in high school so you know, for it to be a standing wave within that L,
The wavelength of the wave has to be

This kind of condition!?!!!!!
Alright alright, common sense tells us lambda for light is freaking tiny,
Which means, I’m trying to say n is large
So
For example,

a standing wave, and then

a standing wave……….
Would the two waves be,,,,,,,,, distinguishable from each other?????????????
They’d basically be the same,
n is discrete, but the waves could kinda be seen as continuous…..
Thinking about it that way, inside there

,

how many n satisfy the standing wave condition?!?!!!!!!
I mean, how many standing waves can fit in! (density of state)
(Hmm~ the number of lights that keep~~~ bouncing back and forth???)
That number is said to be

something like this……haha
(I didn’t know in my 2nd year~ why that is~ ugh~ hahaha it’s covered in detail in thermal statistics! See the link below!)
(http://gdpresent.blog.me/220691412313)

density of state, statistical mechanics of ideal gas [ Thermal/Statistical Mechanics I Studied #36 ]
If I roughly look back at what I’ve done so far, find Z, calculate U and F, differentiate that with respect to T, or…
gdpresent.blog.me
(http://gdpresent.blog.me/220691438340)

density of state, one more perspective [ Thermal/Statistical Mechanics I Studied #37 ]
I analyzed density of state being in the previous post from 2 perspectives. Here’s one more…
gdpresent.blog.me
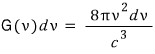
Rayleigh and Jame jeans calculated this hahahahaha so~ ~ ~
(Up there is the number! Number! Because it’s density times volume?!)
Alright, now let’s move on to energy
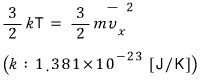
If we compute the average energy each individual wave has,

This was learned in high school,

This too is a relation learned in high school!!
(If you haven’t learned it, it’s easily derived here. http://gdpresent.blog.me/220689773731)

equipartition theorem [ Thermal/Statistical Mechanics I Studied #31 ]
In physics, “energy” being proportional to a square happens really often, they say haha. What!? How can we make such a definitive…
gdpresent.blog.me
But since we lowered our dimension to 1D,

k is the Boltzmann constant….. hahaha
This is the energy corresponding to ‘degree of freedom 1,’ but since standing waves have x-direction and y-direction, 2 degrees of freedom,
the average energy of one standing wave is

Hmm,
(number of standing waves x average energy per standing wave)

This is called the energy density, and it’s called the Rayleigh-Jeans Formular….
But this equation didn’t exactly match reality…….
It roughly matched the black body radiation according to temperature in the visible region,
but apparently couldn’t cover anything beyond that, beyond ultraviolet,,,,,,
(That’s why the equation ends up diverging from ultraviolet onward, and that’s why that area is called the ‘ultraviolet catastrophe’…)

(The opposite side of the actual line (the high-frequency part was approximated by Mr. Wien Helm, right? It’s not mentioned here)


(More details at http://gdpresent.blog.me/220651401045!!!)

Meaning of Planck’s constant (with photoelectric effect) [ Quantum Mechanics I Studied #43 ]
A template I got from a friend for tomorrow’s presentation….. Roughly throwing together… Just something about quantum mechanics I liked…
gdpresent.blog.me
From here on, we hit a roadblock…………..
The low-frequency part is approximated approximately by Sir Rayleigh-Jeans’ approximation,
and the high-frequency part is approximated approximately by Mr. Wien Helm’s gold-proximation, but they couldn’t make anything that could swallow up both sides at all T_T T_T T_T T_T
And people waited for the arrival of Mr. Max Planck in 1900……lololololol
That man arrived and said this…heh.hehe
“The energy density, you see. "

it’s not this, you see.

It’s this.
(h : Planck’s constant = 6.626 x 10 to the -34 [J·s])
The multiplying term should be changed from kT, to this!!!!!!!!!
When you do it with this equation, it exactly matches that actual graph of course, and even in the part before the ultraviolet catastrophe happens,
in the part with lower frequencies than ultraviolet, it even reduces to the Rayleigh-Jeans formula!!!!!!
Mr. Max Planck, instead of kT,

he stuck this term on,
which means he replaced the average energy that 1 standing wave has like that, right?????
So Mr. Max Planck is saying that the average energy of 1 standing wave is

this, which means~~~~~
actually, the meaning that this carries is exactly the idea that threw the door of ‘quantum mechanics’ wide open!!!!!!
(He did do quantization)
I’ll learn about it in detail later, but the meaning is

with the meaning that
“the oscillators of the cavity wall, instead of having continuous energy

, have only specific energies of

!!!!!!!” that’s the meaning…..
cf.) Originally, Mr. Planck was a damn conservative person, so,
he was apparently someone who damn hated stuff like ‘challenges?’, ‘adventures?’ ‘smashing existing theory?’!!!!! (so he kinda didn’t work that hard??)
But, because of the atomists who kept trying to smash existing theory, he threw himself into black body radiation research to shut them up lololololol
But the more he researched, the more he kept arriving at the atomists’ ultimate conclusion….. and at some point…… he stood at the head of the atomists lolol
Anyway, at least during that time he was one of the damn hardest-working people,,,,,,
He himself directly said “the hardest-working time of my life…”..haha [- ‘Quantum Story,’ Jim Baggott - ]
Originally written in Korean on my Naver blog (2015-08). Translated to English for gdpark.blog.