The Compton Effect
Compton's wild experiment pits X-ray photons head-on against electrons and uses conservation of momentum & energy to prove light really does act like a particle.
The photoelectric effect we did earlier
was the first to say that light, an electromagnetic wave, ‘has particle properties!’,
and based on that, we also found x-rays, a light with a bit more energy, and on top of that, quantization….
Well, we’ve been talking about the particle nature of waves like this
Ah shit, so these guys that are electromagnetic waves…. are particles?????? Hey then
let’s actually pit them 1:1 against real particles in a collision!!!!!
That’s what compton’s experiment was.
We decided to collide the ‘photon’ — something whose identity we can’t quite pin down… but it does exist — with an ’electron’.
Hmm~~~ but the energy of visible light is about 2eV, right???????but
the electron’s rest mass energy is about 511KeV, so visible light doesn’t even stand a chance
It’s probably going to be like colliding a fly with an elephant, so
‘Hey!!! Visible light, no way!!!! X-ray, deploy!!! You go smash into it!!!!’
The energy of x-ray, as we saw earlier, is in the tens of KeV range
sooo~~~~~~!!!!!
It seems like it’ll be about at the level of a motorcycle and a car, or a Matiz and a Starex, crashing into each other!!!~~~!!~!
heh heh heh heh letsgo
Alright then, let’s have X-ray and electron go at it one-on-one,
with the idea of holding the electron still and firing the X-ray!!! let’s have them duke it out.

Alright then, from the side we’ll watch the conservation of energy & momentum.~~~~

And after the collision

it’ll end up like this
The frequency of the x-ray will change, and because of that the momentum will change too,
and the energy and momentum that the electron gains we don’t know~~~
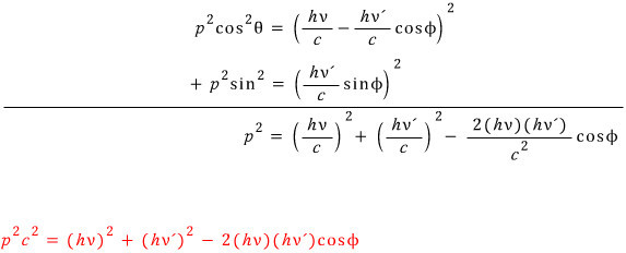
With before and after lined up like this, conservation laws let’s gogogogo!!


Combine the two equations gogogogogogogo


Here let’s take a look at the relativistic kinetic energy~~~~~~

Here the amount of kinetic energy is exactly the energy lost by the x-ray~~~~~~

As a result, if we combine the equation obtained from the conservation of momentum and the equation derived from the conservation of energy,


The case where Δλ is largest is when cosine pi is -1, i.e. 180 degrees!!!
That means the case where it rams straight in and bounces right back out
Also it’s interesting that the blue part is a constant
Ahhh and it also means that the larger the rest mass of the object being duked out with, the smaller the change in lambda!!!~~~
Originally written in Korean on my Naver blog (2015-08). Translated to English for gdpark.blog.