The Infinite Square Well
We dive into the infinite square well, crank through boundary conditions on the Schrödinger equation, and land on quantized wave functions — same moves as E&M, surprisingly!
Alright, like I promised last time — we’re going to tackle $V(x)$ case by case. And the first potential up on the chopping block is…
the Infinite Square Well!!!
So: when $V(x)$ is an infinite square potential, what shape does the wave function take?
Huh? Wait — what were we doing again for each case of $V(x)$…?
$$-\frac{\hbar^{2}}{2m}\frac{d^{2}\psi}{dx^{2}} + V\psi = E\psi$$Right. We’re hunting for the $\psi(x)$ that satisfies this differential equation!
The infinitely deep square well is
$$V(x) = \begin{cases} 0 & (0 \le x \le a) \\ \infty & (\text{otherwise}) \end{cases}$$
Look, I know this analogy isn’t really… appropriate… but I think it kind of gets across what “the potential is $\infty$” is supposed to feel like.
Anyway — $\psi(x)$ only has meaning between $0$ and $a$, so let’s just look at that region!!!
$$\text{(in the case where } 0 \le x \le a \text{)} \\ -\frac{\hbar^{2}}{2m}\frac{d^{2}\psi}{dx^{2}} + V\psi\,(\text{this is 0}) = E\psi \\ -\frac{\hbar^{2}}{2m}\frac{d^{2}\psi}{dx^{2}} = E\psi \\ \frac{d^{2}\psi}{dx^{2}} = -\frac{2m}{\hbar^{2}}E\psi = -k^{2}\psi \quad \left(k \equiv \frac{\sqrt{2mE}}{\hbar}\right)$$Writing all those letters out every time is a pain, and I’m gonna make a typo somewhere — so I’m just lumping everything into $k$ and dragging that around instead.
So now,
$$\frac{d^{2}\psi}{dx^{2}} = -k^{2}\psi \quad \text{the general solution of this ODE is} \\ \psi(x) = A\sin kx + B\cos kx$$AAAAAAH this is literally the same thing as in E&M!!!
Even the $V(x)$ setup is the same heh heh heh
$$\psi(x) = A\sin kx + B\cos kx$$— and the undetermined coefficients $A$, $B$…
In E&M we pinned them down one by one with boundary conditions. Same deal here!
First: at $x=0$ and $x=a$, the wave function $\psi(x)$ has to be $0$.
So, $\psi(0) = \psi(a) = 0$!
What else do we have??? Normalization. We’ll get to that one in a bit.
For now let’s just slam in $\psi(0) = \psi(a) = 0$:
$$\psi(0) = 0 = A\sin k \cdot 0 + B\cos k \cdot 0 = B \\ \therefore B = 0$$So $B$ has to be $0$, which gives us
$$\psi(x) = A\sin kx$$Good. Now use the $x=a$ condition:
$$\psi(a) = 0 = A\sin ka \\ \therefore k = \frac{n\pi}{a} \quad (n \text{ is an integer})$$$$\therefore \psi(x) = A\sin\frac{n\pi}{a}x$$(Seriously, exactly the same move as in E&M… heh)
(Aaaaaand is this the only solution?????? Nope!!! Any linear combination of these is also a solution.)
So the general solution!!!!!! I’ll write it out a bit later. For now — Keep Going.
OK, next up we need to pin down $A$ via normalization!!!!!!
But wait — before that, let’s look at what the behavior of a particle trapped in an infinite well actually means.
Let’s shove our solution back into the differential equation.
$$\frac{d^{2}\psi}{dx^{2}} = -k^{2}\psi \quad \text{into here!!@!!@@!}$$$$-\frac{n^{2}\pi^{2}}{a^{2}}\left(A\sin\frac{n\pi}{a}x\right) = -\frac{2mE}{\hbar^{2}}\left(A\sin\frac{n\pi}{a}x\right) \\ \quad \text{cancel down} \\ \therefore E = \frac{\hbar^{2}}{2m}\cdot\frac{n^{2}\pi^{2}}{a^{2}} \\ \text{write it as } E_{n}\text{, since } n \text{ can only be an integer:} \\ E_{n} = \frac{\hbar^{2}}{2m}\cdot\frac{n^{2}\pi^{2}}{a^{2}}$$Because we’ve been just rolling along with the algebra, you might be thinking “yeah sure, of courseeee,” but…
…this is actually a conclusion that makes zero sense by everyday intuition. Namely:
A particle stuck in an “infinitely deep square potential” cannot have an arbitrary energy.
The allowed energies are locked in from the start, determined by the width $a$ of the well. Like… whoa.
From here on out, the full-on mental-breakdown phase of quantum mechanics begins… heh heh heh huh hahahahahahahahahaha
OK, now — through normalization (so the statistical interpretation actually means something, i.e. so that $|\psi|^2$ is a legit probability density!!!) — let’s nail down $A$!!!
$$1 = \int_{0}^{a}\psi^{*}(x)\cdot\psi(x)\,dx = \int_{0}^{a}\left(A\sin\frac{n\pi}{a}x\right)\left(A\sin\frac{n\pi}{a}x\right)dx \\ = A^{2}\int_{0}^{a}\sin^{2}\frac{n\pi}{a}x\,dx$$$$\cos 2x = \cos^{2}x - \sin^{2}x = 2\cos^{2} - 1 = 1 - 2\sin^{2}x \\ \therefore \cos^{2}x = \frac{1+\cos 2x}{2} \quad \sin^{2}x = \frac{1-\cos 2x}{2} \\ \text{so}\quad \sin^{2}\frac{n\pi}{a}x = \frac{1-\cos\frac{2n\pi}{a}x}{2} = \frac{1}{2}-\frac{1}{2}\cos\frac{2n\pi}{a}x$$$$1 = A^{2}\int_{0}^{a}\sin^{2}\frac{n\pi}{a}x\,dx \\ = A^{2}\int_{0}^{a}\left(\frac{1}{2}-\frac{1}{2}\cos\frac{2n\pi}{a}x\right)dx \\ = A^{2}\left[\frac{1}{2}x-\frac{1}{2}\cdot\frac{a}{2n\pi}\sin\frac{2n\pi}{a}x\right]_{0}^{a} \\ = A^{2}\left(\frac{a}{2}-0+0-0\right) \\ = A^{2}\frac{a}{2} = 1$$$$\therefore A = \pm\sqrt{\frac{2}{a}}$$Whether $A$ is $+$ or $-$, it’s the same thing in the end, so let’s just pick
$$A = \sqrt{\frac{2}{a}}$$and call it done.
$$\therefore \psi_{n}(x) = \sqrt{\frac{2}{a}}\sin\frac{n\pi}{a}x$$OK, now there are a few more fun things to say.
Background vocab first: the state function at $n=1$,
$\psi_{1}(x)$
is called the ground state, and for $n=2$ and up,
$\psi_{n}(x)$
is called an excited state.
Ok, how. ev. er.

So what this is saying is — the state functions lock in like this!
$$\therefore \psi_{n}(x) = \sqrt{\frac{2}{a}}\sin\frac{n\pi}{a}x$$Even staring at the formula alone, anyone can see that in words:
“The wave functions alternate like this as we climb $n=1, 2, 3, \dots$ — even, odd, even, odd, …”
In physics-speak, that same statement also means:
at $n=1$, 1 node / at $n=2$, 2 nodes / at $n=3$, 3 nodes / … / at $n=k$, $k$ nodes.
(Heads up — this is actually wrong. “Node” means a zero crossing, i.e. where the wave function touches the axis, not the number of humps. Both the textbook I was following and I fumbled this and counted the bumps. So please mentally correct this!)
“The wave functions are orthogonal to each other!!!!!!!”
Meaning: their inner products with each other are $0$ (a thing I first noticed using Fourier’s trick back in E&M).
In the infinite well!!!!
$$\int\psi_{m}^{*}\psi_{n}\,dx = 0$$Pushing the meaning one step further —
$$\psi_{n}(x) = \sqrt{\frac{2}{a}}\sin\frac{n\pi}{a}x$$these are complete with respect to each other.
The solutions that pop out of the time-independent Schrödinger equation for the infinite square well $V(x)$ — those guys — are complete.
Actually…
$$\hat{H}\psi = E\psi$$when you’re solving this time-independent Schrödinger equation, the solutions are
$$\psi_{n}(x) = \sqrt{\frac{2}{a}}\sin\frac{n\pi}{a}x$$and what I’m saying is — these $\psi_n$ are
$$\hat{H}\psi = E\psi$$the eigenfunctions of the $\hat{H}$ operator, right????
And just like eigenvectors are linearly independent of each other, these eigenfunctions are linearly independent of each other!@!@!@@!!!!
<I’ll get into this properly when I do linear algebra (cry)>
OK now let’s actually write the general solution.
The general solution is a linear combination of
$$\psi_{n}(x) = \sqrt{\frac{2}{a}}\sin\frac{n\pi}{a}x$$i.e.
$$\psi(x) = C_{1}\psi_{1}(x) + C_{2}\psi_{2}(x) + \cdots = \sum^{\infty}C_{n}\psi_{n}(x)$$and what completeness is telling us here is:
the general solution is unique.
$$\psi(x) = C_{1}\psi_{1}(x) + C_{2}\psi_{2}(x) + \cdots \neq d_{1}\psi_{1}(x) + d_{2}\psi_{2}(x) + \cdots$$There is absolutely no way to rewrite it with some different set of constants!!! That’s it.
I’ve been rambling all over the place up there, but the punchline is simple:
a wave function $\psi(x)$ can be written in terms of $\psi_{1}(x)$, $\psi_{2}(x)$, $\psi_{3}(x)$, … as a basis.
And the way to write it is unique!
Like — one!! one way in all the universe~~~
So:
$$\psi(x,t) = \sum^{\infty}C_{n}\psi_{n}(x)\Phi_{n}(t) \\ \left(\Phi_{n}(t) = e^{-i\frac{E_{n}}{\hbar}t}\right)$$One more thing!!!!!!!
I want to find $C_{n}$!!!!!!
Remember how we found the Fourier coefficients of a function back in E&M? Same move here. Fourier’s trick.
$$\psi(x) = \sum^{\infty}C_{n}\psi_{n}(x) = \left(C_{1}\psi_{1}(x) + C_{2}\psi_{2}(x) + \cdots\right)$$Fourier trick, go go:
$$\int_{0}^{a}\psi_{m}^{*}(x)\psi(x)\,dx = \int_{0}^{a}\psi_{m}^{*}C_{1}\psi_{1}(x)\,dx + \int_{0}^{a}\psi_{m}^{*}C_{2}\psi_{2}(x)\,dx + \cdots \\ = 0+0+0+0+\cdots + \int_{0}^{a}\psi_{m}^{*}C_{m}\psi_{m}(x)\,dx + 0+0+\cdots \\ = C_{m} \\ \left(\int_{0}^{a}\psi_{m}^{*}\psi_{m}(x)\,dx = 1\right)$$O~~~~~~~~kay, so now we know how to dig out $C_n$ too!!!
Now — let’s talk about what it means. That meaning!!!!!!
$$\psi(x) = \left(C_{1}\psi_{1}(x) + C_{2}\psi_{2}(x) + \cdots\right)$$What are the $C_1, C_2, C_3, \ldots$ doing inside this thing?
Since $C_1, \ldots, C_n$ are just constants — they’re basically telling you: of the $n$-th piece $\psi_n(x)$ in the expansion of $\psi(x)$, how big of a share (like, stock-market share!) does it have in $\psi(x)$?!?!?!!!
Aha — so $\psi(x)$ is basically a publicly traded company and the $C_n$’s are the shareholders, got it.
It’s gonna come up properly in the next chapter (chapter 3), but:
$|C_{n}|$ is literally interpreted as the probability of measuring energy $E_n$.
(Deep dive in chapter 3.)
So obviously, if you sum them up, you’d better get 1?!?!!!! (But we already know this!! We know how to normalize!! heh heh heh)
$$1 = \int\psi^{*}\psi\,dx \\ = \int\left(\sum^{\infty}C_{m}\psi_{m}(x)\right)\left(\sum^{\infty}C_{n}\psi_{n}(x)\right)dx \\ = \int\left(C_{1}\psi_{1}^{*}+C_{2}\psi_{2}^{*}+\cdots\right)\left(C_{1}\psi_{1}+C_{2}\psi_{2}+\cdots\right)dx \\ = C_{1}C_{1}\int\psi_{1}^{*}\psi_{1}\,dx + C_{1}C_{2}\int\psi_{1}^{*}\psi_{2}\,dx + \cdots \\ \langle\text{when } n\neq m\text{, all}~0\rangle \\ = |C_{1}|^{2}+|C_{2}|^{2}+|C_{3}|^{2}+\cdots \\ = \sum^{\infty}|C_{n}|^{2}=1$$And — so I said $|C_{n}|$ is literally the probability of measuring energy $E_n$. Here’s another way to see it~!!
Now~~ check this out.
Let’s summon the Energy Measurer Guy and ask him to measure the energy of $\psi(x)$!!!!

Yo dude;;;; please measure the energy of $\psi(x)$ for me~~~~

And the punchline — this last line:
$$\sum C_{n}^{2}E_{n} = \langle H\rangle$$$$\sum P(j)j = \langle j\rangle$$If we read this in the same spirit as that expectation-value formula from before!!!
…couldn’t we read $C_n$ as “the probability of having energy $E_n$”?
Yep.
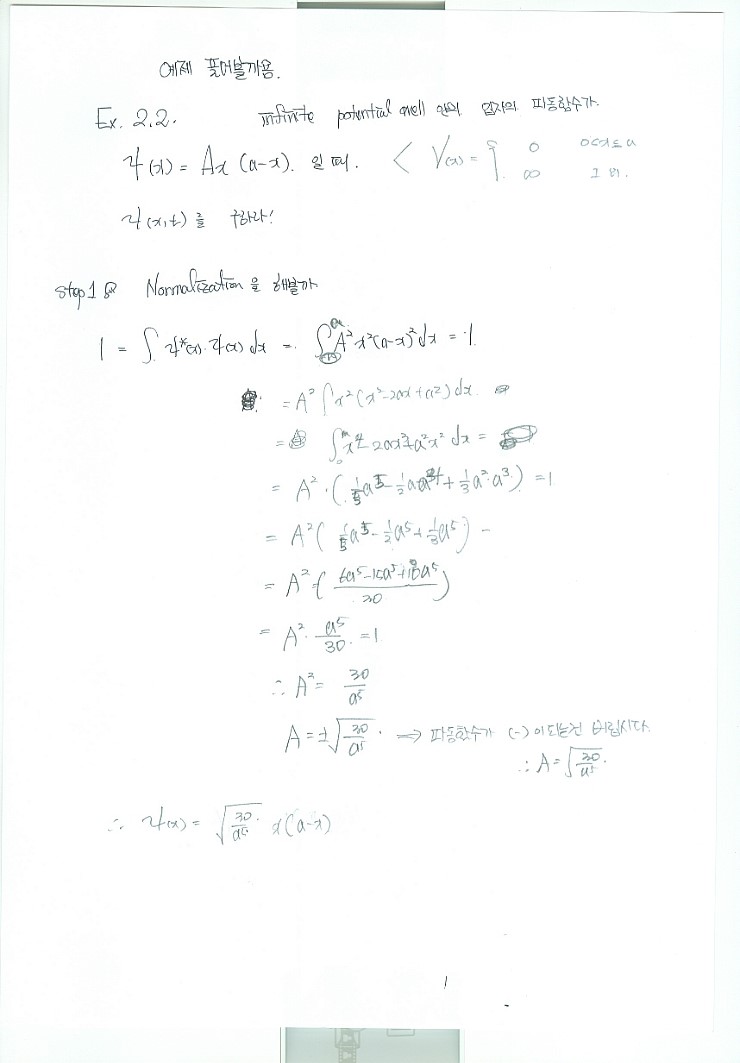
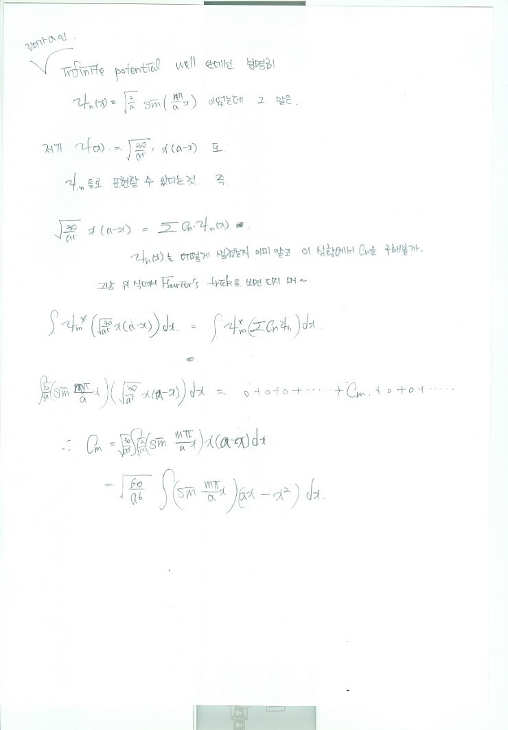
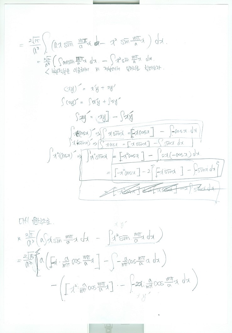
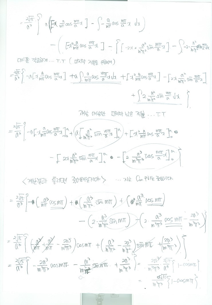
I worked through Example 2.2, but the thought of typing it all out with Naver’s formula editor is… daunting…… I’ll just scan it and upload.
Anyway, anyone can solve this one~~~~ easy peasy heh heh (just not for me… (cry))
Ex) 2.2





Originally written in Korean on my Naver blog (2015-08). Translated to English for gdpark.blog.